铝电解电容的特性
1.1 Circuit model (等效模型)
The following circuit models the aluminium electrolytic capacitor’s normal operation as well as the over voltage and reverse voltage behavior. (此模型包含正常运行,过压,反压时的特性)

The capacitance Ca and Cc are the capacitance of the capacitor and is frequency and temperature depended. (Ca and Cc,它的容量是频率及温度的函数)
The resistance ESR is the equivalent series resistance which is frequency and temperature depended. It also increases with the rated voltage. (ESR是频率及温度的函数,随着额定电压的增加而增加)
The inductance L is the equivalent series inductance, and it’s independent for both frequency and temperature. It increases with terminal spacing. (L是频率及温度的函数)
The resistance Rp is the equivalent parallel resistance and accounts for leakage current in the capacitor. It decreases with increasing the capacitance, temperature and voltage and it increases with time. (Rp的大小决定了漏电流的大小,随着容量温度电压的增加而降低,随着使用时间的延长而增加)
The zener diode D models the over voltage and reverse voltage behavior. Application of over voltage on the order of 50 V beyond the capacitor’s surge voltage rating causes high。(D模拟过压及加反向电压时特性)
Leakage current and a constant voltage-operating mode quite like the reverse conduction of a zenerdiode. Applications of reverse voltage much beyond 1.5 V causes high leakage current quite like the forward conduction of a diode. Neither of these operating modes can be maintained for long because hydrogen gas is produced, and the pressure built up will cause failure. (加到电容两端的反向电压不能大于1.5V)
1.2 Capacitance (电容的容量)
The rated capacitance is the nominal capacitance and it is specified at 120 Hz and a temperature of 25°C. Capacitance is a measure of the energy storage capability of a capacitor at a given voltage. (额定容量: 标称电压,120Hz, 25°C时测量)。
The capacitance decreases under load conditions and increases under no load conditions over time. When reverse voltage or excessive ripple current is applied, or when the capacitor is repeatedly charged and discharged, an aluminium oxide film is formed on the cathode foil. This film induces a sharp capacitance drop. Capacitance in aluminium electrolytic capacitors is also affected by frequency changes. For example, the capacitance falls as the frequency rises. Variation of magnitude depends on capacitor type. (电容上的纹波电流,频繁地充放电导致阴极箔氧化,容量急剧下降)
1.3 Equivalent series resistance (ESR)
The equivalent Series Resistance (ESR) is the sum of all the internal resistances of a capacitor measured in Ohms. It includes:
- Resistance due to aluminium oxide thickness
- Resistance due to electrolyte / spacer combination
- Resistance due to materials (Foil length; Tabbing; Lead wires; Contact resistance)
At low frequencies (10 – 100 Hz) the ESR is determined by the oxide thickness,
electrolyte / spacer combination and the materials. Above the 100 Hz electrolyte / spacer combination and the materials predominate.
The lower the ESR the higher the current carrying ability the capacitor will have. The amount of heat generated by ripple current depends upon the ESR of the capacitor.
ESR is both frequency and temperature dependent, increasing either will cause a reduction in ESR. The ESR is an important parameter in calculating life expectancy as the power dissipation (internally generated heat) is directly proportional to its value.
The limit is generally established at 120 Hz and 20º C.
The ESR of the electrolytic capacitor can cause another effect, especially above the 10 kHz where the ESR is the dominant contribution to the capacitors impedance.
When a current charges / discharges the capacitor, the voltage across the capacitor will increase / decrease:
and causes a voltage drop over the ESR (流过电容的充放电电流因为ESR而产生纹波电压)
V=I.ESR
如果电容由低占空比,高频脉冲电流充电时, 比较典型的是fly-back电源的输出滤波电容,ESR引起的纹波电压是最重要的,导致必须选用合适ESR的电容来满足要求。电容的容量不是主要考虑的问题。
电容ESR的危害:(1)电容上的纹波电压(2)纹波电流流过ESR发热,使电容寿命缩短。

1.4 Dissipation factor (tan) 损耗角或损耗因子
影响损耗角或损耗因子的因素:电容的ESR,容量,工作频率
The dissipation factor (also called Angle of loss or tangent delta) is a measure of the losses (or, the power factor) of a capacitor. When sinusoidal current is applied to an ideal capacitor, the phase of current should gain /2, however the phase of current actually delays from /2 on a realistic capacitor. The loss in angular velocity is called loss angle and represented by ””.
The tan is decided by ESR (Equivalent Series Resistance), the capacitance (C) and the Frequency (F) usually at 120Hz and 20oC

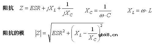
1.5 The impedance 阻抗

通常优先选择中频段阻抗较低的电容。好电容具有较低的阻抗和ESR.
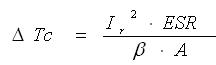
1.6 Ripple current (纹波电流) --- 很重要
纹波电流 Ir :电容上流过的交流电流的有效值
允许的最大纹波电流受限于:外壳的形状,电容的表面积,ESR,最大允许的核心温度
The ripple current Ir is the r.m.s. alternate current value that can be directly applied to the capacitor. The maximum permissible ripple current is dependent on the case style and surface area and ESR, and maximum allowed core temperature.
如果实际的纹波电流大于最大允许纹波电流,电容的寿命极大缩短
If the ripple current applied is higher than the specified maximum permissible ripple current, the life of the capacitor becomes shorter. In general, increasing ripple current is possible by changing the following parameters:
- Lower ambient temperatures (降低环境温度)
- Lower ESR (note: the higher the Frequency, the lower the ESR) (降低ESR,频率越高ESR越低)
- Improve heat transfer through heat sinking and / or forced air cooling (良好的散热)
- Increase case size (加大电容的尺寸)
- Voltage derating (额定电压降额使用,例如450V的电容用于300V的应用下)
For more detailed information about calculating the ripple current see chapter 7 paragraph 7.4
1.7 Voltage 电压
- The rated voltage 额定电压
峰值电压(交流与直流的和)必须小于额定电压
The rated voltage can be applied to a capacitor within temperature and reference margins. The sum of continuous and alternate voltage applied to the capacitor cannot exceed rated voltage. The maximum permissible ripple current limits the alternate voltage.
Derating the applied voltage will reduce the failure rate of the capacitor. Higher rated voltage capacitors may be substituted for lower rated voltage capacitors as long as can size, DF and ESR ratings are also compatible.
- The reverse voltage反向电压
不能加反向电压,能够承受1.5V 1 min的反向电压
反向电压的危害:发热,阴极氧化,产生大量氢气,使电容爆裂
- The surge voltage 浪涌电压
电容短时间能够承受的最大过压(5 min 的周期内不超过30秒的脉冲过压)
危害与反向电压的危害一样。
IEC的标准:
VP = 1.15 x Vrated for Vrated < 315VDC
VP = 1.10 x Vrated for Vrated > 315 VDC
最大允许的浪涌电压与最大额定电压的关系
Rated voltage(V) 4 6.3 10 16 25 35 50 63 80 100 160 180 200 250 315 350 400 450
Surge voltage (V) 5 8 13 20 32 44 63 79 100 125 200 225 250 300 365 400 450 500
浪涌电压应用于电源上电的瞬间,电容上往往有过充电压,特别是PFC电路。
- The transient voltage 瞬态电压
Aluminium electrolytic capacitors can generally withstand extreme over voltage transients of limited energy. Applications of over voltage more than about 50 V beyond the capacitor’s surge voltage rating causes high leakage current and a constant voltage operating mode like the reverse conduction of a zener diode. The capacitor may fail short if the electrolyte cannot take the voltage stress, but even if it can, this operating mode cannot be maintained for long because hydrogen gas is produced by the capacitor, and the pressure built up will cause failure.
1.8 Temperature 温度(纹波电流与ESR的交互作用的后果)
热阻可分成两部分:内部热阻(从核心到外壳)和 外部热阻(从外壳到周围的环境)
内部热阻的大小取决于制造工艺。良好的散热可以降低外部热阻。
外壳的面积也很重要。
1.8.1 Heat rise of case surface (外壳表面的温升,从外壳到周围的环境)


Tj= Heat rise at the core of the capacitor element从核心到外壳的温升
a= Thermal resistance内部热阻(从核心到外壳)
内部热阻与外壳的尺寸密切相关,经验结论:
外壳的直径 3 ~ 8 10 ~ 12.5 16 ~ 18 20~22 25 30 35
内部热阻 1 1.1 1.2 1.3 1.4 1.5 1.6
太阳能电池板的发电原理、材料和发展前景
时间:2026-03-05
电力变压器基本概述
时间:2026-03-05
电力变压器的实际意义
时间:2026-03-05
电力变压器的功能及作用
时间:2026-03-05
电力变压器的分类
时间:2026-03-05
太阳能电池板清洗设备、方法和好处
时间:2026-03-05
电力变压器的特点有哪些
时间:2026-03-05
电力变压器的工作原理
时间:2026-03-05
太阳能电池板的倾斜角度测量和安装考虑因素
时间:2026-03-05
电力变压器运行与保养
时间:2026-03-05
玻璃釉电容器的结构与特点
时间:2026-03-05
关于STM32WL LSE 添加反馈电阻后无法起振的...
时间:2026-03-05
电阻的标称阻值和允许偏差
时间:2026-03-05
并联电容器的补偿方式_安装并联电容器的目的
时间:2026-03-05
电容器组禁止什么合闸_电容器组失压属于什么
时间:2026-03-05
贴片电容材质有哪些_贴片电容材质NPO和COG区...
时间:2026-03-05
电容发热的原因是什么
时间:2026-03-05
多类型的电容是否可以统一为某一种类型的电...
时间:2026-03-05
电容器的特性
时间:2026-03-05
电容补偿柜的基本原理是什么?滤波,退偶,...
时间:2026-03-05