高压并联电容器再投入的最小时间间隔
| 在刚脱开电网的高压并联电容器的端子间存在一定的剩余电压。这种剩余电压如不能及时下降到允许值以下,会对操作人员的安全及电容器的安全运行带来危害。所以在大部分高压并联电容器中都装设有内放电电阻。国家标准规定,这些装设在电容器中的放电电阻应能在电容器脱开电网后的10min内将电容器端子间的剩余电压从
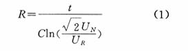
降低到75V及以下。这个内放电电阻的阻值可用式(1)进行计算,即:
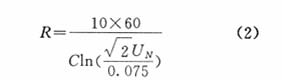
t—电压从 降到UR的时间(s); C—电容器的电容(μF); UN—电容器的额定电压(kV); UR—电容器的剩余电压(kV) 将t=10×60s,UR=0.075kV代入式(1)可得:
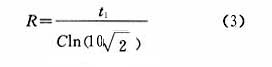
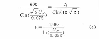
式中:t1—电容器端子间的剩余电压从降低到0.1UN的时间 因为是同一台电容器,所以其内部的放电电阻相同。由式(2)和式(3)可得:
举例:额定电压为
|
矩阵切换器的控制方式
时间:2026-03-05
降压转换器使用陶瓷输出电容器
时间:2026-03-05
金属膜电容和其他电容的简单分类
时间:2026-03-05
矩阵切换器的输入/输出阻抗
时间:2026-03-05
矩阵切换器的输入/输出电平
时间:2026-03-05
分配器的支持分辨率/传输距离
时间:2026-03-05
车载显示屏的屏幕比例
时间:2026-03-05
分配器的输入接口/输出接口
时间:2026-03-05
车载显示屏的屏幕尺寸
时间:2026-03-05
KVM切换器的切换方式
时间:2026-03-05
关于STM32WL LSE 添加反馈电阻后无法起振的...
时间:2026-03-05
电阻的标称阻值和允许偏差
时间:2026-03-05
玻璃釉电容器的结构与特点
时间:2026-03-05
3PEAK高压零漂放大器契合精密应用
时间:2026-03-05
PPTC热敏电阻在电池中的应用
时间:2026-03-05
水泥电阻规格及型号
时间:2026-03-05
气敏电阻的型号命名方法是怎样的
时间:2026-03-05
国巨片式电阻缺货涨价之应对方案 你要知道电...
时间:2026-03-05
RI-80F型高压高阻玻璃釉膜电阻分压器
时间:2026-03-05
电阻器的分类
时间:2026-03-05