电容的串并联计算方法
1.串联公式少一括号:C = C1*C2/(C1 + C2)
2.并联耐压数值按最小的计算,木桶原理
串联分压比—— V1 = C2/(C1 + C2)*V 。。。。。。。。电容越大分得电压越小,交流直流条件下均如此
并联分流比—— I1 = C1/(C1 + C2)*I 。。。。。。。。电容越大通过的电流越大,当然,这是交流条件下
电容串联值下降,相当板距在加长,
各容倒数再求和,再求倒数总容量。
电容并联值增加,相当板面在增大,
并后容量很好求,各容数值来相加。
想起电阻串并联,电容计算正相反,
电容串联电阻并,电容并联电阻串。
说明:两个或两个以上电容器串联时,相当于绝缘距离加长,因为只有最靠两边的两块极板起作用,又因电容和距离成反比,距离增加,电容下降;两个或两个以上电容器并联时,相当于极板的面积增大了,又因电容和面积成正比,面积增加,电容增大。
电容串联后容量值减小,如公式:1/C1+1/C2=1/C 如两个50uf串联起来就变成25uf.
耐压值变大,如耐压值=两个电容耐压值相加。如两个耐压100V的串联起来就变成200V的了。
电解电容器串联时,应将一个电容器正极与另一个的负极相接,最后接入线路的两条引线,应该有一条为正,一条为负。 也可以将负负相串做无极电容用。在要求不高的场合(如工频),可以用两个有极性电容同极相接串联代替,但是它的容量和普通无极性电容串联算法不同,因为在反向电压下的极性电容相当于短路,所以两个极性20uF电容串联,其容量接近20uF。最好在每个极性电容两端并接一个二极管,极性与电容相同,形成反向电流通路,避免电容在反向电压下发热击穿。
这种用极性电容串接成的“无极性电容”,目前在一些廉价的农机具用的单相电动机中使用相当多。
电容并联:电容并联后容量变大,耐压值不变。公式:C=C1+C2 如两个50uf并联起来就变成100uf.
电解电容并联使用时,应该使正极与正极相接,负极与负极相接,最后接入线路时电解电容器的引出线也应该一条为正极,另一条为负极。
在实际应用中,可以使电容既串联又并联,这种使用方法称为混联。容量、耐压可以先计算并联,然后计算串联。
串联:
R=R1+R2+R3+.。.+Rn
并联:
1/R=1/R1+1/R2+1/R3+.。.+1/Rn
最近见到几张用电容降压做电源的电路图,随即对这种结构简单,成本低廉,占用空间小的电路产生了兴趣。上网查了查资料,发现这算是一个比较古老的技术,但是如此运用电容,确实是很巧妙。网上关于这方面的交流也不少,但是大多是转载的,主要有两个版本,出处已经无从考证,但是很少有较为严谨的计算。笔者查阅了一些资料,在此对其原理和参数的计算作一些总结,不当之处,还请指教。
电容降压主要是用在直流稳压电源电路里。直流稳压电源电路的大致结构是:
市电——变压(降压)——整流——滤波——稳压——直流输出
第一个环节,也就是变压,主要是降压,一般使用变压器来完成。但是变压器体积较大,成本也较高,如果电路简单,例如声光控制开关,那么加一个变压器就显得大材小用。这个时候用一个电容,就可以解决降压的问题,简化电路,节约成本。基本电路如图1:

图1半波整流
市电经过C1降压后到D2,D2完成半波整流,C2对整流后的脉动直流滤波,D3稳压,输出稳定的直流电压给负载。R1是电源关闭后C1的电荷泄放电阻。D1是为了在市电的负半周给C1提供充放电通路。因为要保证C1在整个交流电周期内都是工作的。
如果将C1后面的电路都看作负载的话,那么相当于C1和一个电阻串联在市电通路里,电容和电阻在交流下都是有阻抗的,串联分压,自然负载上的电压就小了。这样理解也对。但是更准确的理解应该是:C1起到了限流的作用,它决定了电路中的最大电流,当负载一定的情况下,C1也就决定了负载上可以得到的电压,最终起到了降压的作用。
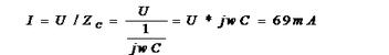
例如:图1中如果负载短路,220V交流电全部加在C1上,电路中的电流等于C1的充放电电流。

这个电流也就是电路中的最大电流。这里取得都是有效值。
当加上负载后,如果输出直流电压比较低(稳压管决定),则可以近似认为全部电压都加在电容上。由于是半波整流,所以电容C1后面的电路只能得到C1半个周期的充放电电流,也就是有效值的一半,大约34.5mA左右。由于负载上有电压,所以实际电流要小一点,大约30mA。当负载需要的电流不超过30mA时,电路就可以正常工作,电容也就起到了类似变压器的作用——降压。
对于桥式整流,C1后面的电路能得到C1整个周期的充放电电流,大约60mA。

图2 全波整流
电容降压电路主要应用在负载电流较小,负载确定且固定的场合。因为由电容降压电路组成的稳压电源稳压能力十分有限,并且对电网有一定的影响。
较为严谨的计算,主要涉及三个元件的参数:降压电容,稳压二极管,泄放电阻。滤波电容用几百UF,耐压值取输出直流电压的3-4倍即可。整流二极管用1N4007就行。在应用稳压二极管稳压时,一般是有一个限流电阻与之一起工作,在这里降压电容已经限制了最大电流,所以可以不用限流电阻。
首先根据负载所需要的电流和稳压管正常工作的反向电流,确定电路所需要的总电流。然后用电容上的电压除以总电流,得到相应的容抗。最后选择容值最接近的电容。容值小,提供不了足够的电流,容值大,稳压管分担的电流多,功耗大。
选择的稳压管最大反向电流要大于总电流,这样当负载断开时,稳压管才不至于烧坏。
泄放电阻,主要是为了在较短时间内释放掉电容上的电荷,这里有一个时间常数的计算,一般按下表取就可以了。

降压电容UF0.470.6811.52
泄放电阻1M750K510K360K220K
根据负载对电流的要求和输出的直流电压,降压电容计算步骤如下,负载指的是降压电容以外的电路。
根据输出电压要求,求电容压降Uc:

根据负载要求,求出流过电容的电流Ic:

当输出直流电压较小时(这是电容降压电路主要的应用领域),可以近似认为全部交流的电压加在电容上。计算过程如基本原理所述,整流电路是半波整流时,1UF的电容最大可以提供约30mA的电流,整流电路是桥式整流时,1UF的电容最大可以提供约60mA的电流。
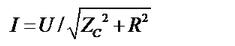
有的时候电容降压用在纯交流电路中,由电容降压得到一个低于220V的交流电压。根据负载的电阻和所需电流的大小,由

即可推出Zc,进而推出电容的容值。

(1)电容降压是一种低成本,不安全的应用,没有和220V隔离,电路应该放在一般接触不到的地方;
(2)不能应用在大功率场合,不能用在负载变化或者不确定的场合;
(3)降压电容一般要接在火线上(纯交流电路除外),电路的零,火线不能接反,这一点可以用三脚插头来强制,或者标注清楚;
(4)降压电容必须是无极性电容,耐压值要大于400V(常用金属膜CBB);
(5)主要根据负载的电流大小和交流电频率来选择电容;
(6)需要直流输出,稳压管一定要有;
(7)需要直流输出,建议用半波整流,桥式整流后是需地,不安全;
(8)需要直流输出,负载一定要固定。
题外话,为什么不用电容电感或者电阻?
电阻降压是有的,但是比较少,应用场合和电容降压一样,但是电阻消耗的是有功功率,功耗大。电感降压?原理上和电容一样,但是估计精确的电感不好做,没有电容容易得到,所以没有用电感的。
什么是微机五防 变压器停送电操作原则
时间:2026-03-05
图文解析变电站二次设备原理图
时间:2026-03-05
基于ACM32 MCU的两轮车充电桩方案
时间:2026-03-05
智能电表结构组成 智能电表的工作原理
时间:2026-03-05
隔离开关基本介绍:控制回路及五防装置
时间:2026-03-05
空气开关的工作原理 空气开关与漏电保护器的...
时间:2026-03-05
电力系统谐波的是怎么产生的?
时间:2026-03-05
关于配电箱安装的注意事项
时间:2026-03-05
一文解析电压互感器的原理与变压器的原理
时间:2026-03-05
地铁电能质量0.4KV低压设备的无功及谐波等问...
时间:2026-03-05
玻璃釉电容器的结构与特点
时间:2026-03-05
关于STM32WL LSE 添加反馈电阻后无法起振的...
时间:2026-03-05
电阻的标称阻值和允许偏差
时间:2026-03-05
聚四氟乙烯电容器的结构与特点
时间:2026-03-05
漆膜电容器的结构与特点
时间:2026-03-05
复合介质电容器的结构与特点
时间:2026-03-05
瓷介电容器的结构与特点
时间:2026-03-05
电解电容器的结构与特点
时间:2026-03-05
电解电容的型号
时间:2026-03-05
铝电解电容特性型号参数表
时间:2026-03-05