(1):因为每一种晶振都有各自的特性,所以最好按制造厂商所提供的数值选择外部元器件。
(2):在许可范围内,C1,C2值越低越好。C值偏大虽有利于振荡器的稳定,但将会增加起振时间。
(3):应使C2值大于C1值,这样可使上电时,加快晶振起振。
在石英晶体谐振器和陶瓷谐振器的应用中,需要注意负载电容的选择。不同厂家生产的石英晶体谐振器和陶瓷谐振器的特性和品质都存在较大差异,在选用时,要了解该型号振荡器的关键指标,如等效电阻,厂家建议负载电容,频率偏差等。在实际电路中,也可以通过示波器观察振荡波形来判断振荡器是否工作在最佳状态。示波器在观察振荡波形时,观察OSCO管脚(Oscillator output),应选择100MHz带宽以上的示波器探头,这种探头的输入阻抗高,容抗小,对振荡波形相对影响小。(由于探头上一般存在10~20pF的电容,所以观测时,适当减小在OSCO管脚的电容可以获得更接近实际的振荡波形)。工作良好的振荡波形应该是一个漂亮的正弦波,峰峰值应该大于电源电压的70%。若峰峰值小于70%,可适当减小OSCI及OSCO管脚上的外接负载电容。反之,若峰峰值接近电源电压且振荡波形发生畸变,则可适当增加负载电容。
用示波器检测OSCI(Oscillator input)管脚,容易导致振荡器停振,原因是:部分的探头阻抗小不可以直接测试,可以用串电容的方法来进行测试。如常用的4MHz石英晶体谐振器,通常厂家建议的外接负载电容为10~30pF左右。若取中心值15pF,则C1,C2各取30pF可得到其串联等效电容值15pF。同时考虑到还另外存在的电路板分布电容,芯片管脚电容,晶体自身寄生电容等都会影响总电容值,故实际配置C1,C2时,可各取20~15pF左右。并且C1,C2使用瓷片电容为佳。
问:如何判断电路中晶振是否被过分驱动?
答:电阻RS常用来防止晶振被过分驱动。过分驱动晶振会渐渐损耗减少晶振的接触电镀,这将引起频率的上升。可用一台示波器检测OSC输出脚,如果检测一非常清晰的正弦波,且正弦波的上限值和下限值都符合时钟输入需要,则晶振未被过分驱动;相反,如果正弦波形的波峰,波谷两端被削平,而使波形成为方形,则晶振被过分驱动。这时就需要用电阻RS来防止晶振被过分驱动。判断电阻RS值大小的最简单的方法就是串联一个5k或10k的微调电阻,从0开始慢慢调高,一直到正弦波不再被削平为止。通过此办法就可以找到最接近的电阻RS值。
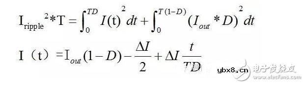
输入电容纹波电流有效值精确计算。
近似计算的过程,更容易理解,没有查看的朋友可以通过以下链接进行查看学习:http://mp.weixin.qq.com/s?__biz=MzAxNDAyMzc0Mg==&mid=201748226&idx=1&sn=e2c75b2a1c8a74886e5c4a932d1a806c#rd
前期我们已经推导输入电容的电流有效值,但是是在忽略Buck电源的输出电流纹波的前提下,进行的近似计算。那么我们通过精确计算,可以得到一个更准确的数据。
这个推导的过程,利用到积分公式。通过分析和推导,可以对电路的工作原理有比较透彻的理解。
如果考虑输出纹波电流。那么电容上的纹波电流的波形为:

由于在上管打开的阶段,输入电流的大小即可近似的看成输出电流的大小。所以只需要将输出电流的波形叠加在输入电容的波形上面,可以得到上图中的波形。
那么按照有效电流定义,我们可以通过对电流平方在时间上的计算

为了简便计算,我们将能量拆成纹波部分,和直流部分。
原先的直流部分,我们直接用乘法进行计算。
直流部分,我们按照近似计算的方法可以得到。
交流部分的功耗,我们按照公式计算可以得到:

所以总的电容上的有效电流为:

如果选用220uF的电容,每个能承受的有效电流为3.8A。。如果我们计算出来输入电容的有效电流值为7A,则需要选用220uF电容2个。高分子电解电容能够承受的有效电流值是有限的。在设计时需要充分考虑电容的承受能力。
双机容错的容错方式/支持平台
时间:2026-03-05
浅谈变电站继电保护定义及线路保护原理
时间:2026-03-05
什么是集群
时间:2026-03-05
双机的工作模式/监控方式/支持数据库
时间:2026-03-05
网络摄像机的安全性
时间:2026-03-05
网络摄像机的软件升级
时间:2026-03-05
网络摄像机的照明度
时间:2026-03-05
网络摄像机的信噪比
时间:2026-03-05
网络摄像机的性能
时间:2026-03-05
网络摄像机的显示尺寸
时间:2026-03-05
玻璃釉电容器的结构与特点
时间:2026-03-05
关于STM32WL LSE 添加反馈电阻后无法起振的...
时间:2026-03-05
电阻的标称阻值和允许偏差
时间:2026-03-05
聚四氟乙烯电容器的结构与特点
时间:2026-03-05
漆膜电容器的结构与特点
时间:2026-03-05
复合介质电容器的结构与特点
时间:2026-03-05
瓷介电容器的结构与特点
时间:2026-03-05
电解电容器的结构与特点
时间:2026-03-05
电解电容的型号
时间:2026-03-05
铝电解电容特性型号参数表
时间:2026-03-05