直观上看,似乎储能电容越大,为IC提供的电流补偿的能力越强。因此,许多人爱使用容量很大的解耦电容。其实这是一个错误的概念。由于电容上寄生电感的存在,电容放电回路会在某个频点上发生谐振,在谐振点,电容的阻抗小,因此放电回路的阻抗最小,补充能量的效果也最好。但当频率超过谐振点时,放电回路的阻抗开始增加,这意味着电容提供电流能力开始下降。电容的容值越大,谐振频率越低,电容能有效补偿电流的频率范围也越小。
因此,为保证电容提供高频电流的能力,电容并不是越大越好。
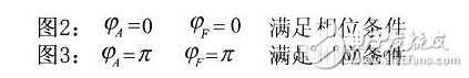
如图2和图3所示,是两个电容三点式的振荡电路。我们应用射同基反判断相位条件是否满足。

先看图2,图2中晶体管的发射极接的是三点式选频网络的2端,集电极接的是1端,基极在交流通路中接地,所以基极相当于接的是3端。发射极与基极问接的单个选频器件是电容C2,发射极与集电极之间接的是电容Cl,发射极与其他两个电极之间接的是电抗性质相同的电容,所以射同已经满足;基极与发射极接的电容C2,基极与集电极之间接的单个选频器件是电感L,电感与电容是两个电抗性质相反的器件,所以基反也是满足的,图2电路支流通路正常,又满足射同基反的条件,所以是可以振荡的。
再看图3。放大器的组态虽然与图2不同,按射同基反分析仍然满足射同基反,直流通路正常,该电路也可以振荡。如果用相位条件判别也是满足的。
如果用相位条件来判断图2和图3中两个电路,可以得到:

注意观察图2和图3,电容二点式电路中选频网络的2端是电容与电容的结点,1和3端是电容与电感的结点,所以分析电容三点式振荡电路的相位条件时只需要看选频网络的2端是否直接或者通过一电阻与发射极(或者场效应管的源极)相连,l和3端是否直接或者通过一电阻与基极和集电极相连。图2中符去掉基极电容Cb相位条件仍然满足,电路只要振幅条件满足仍可振荡。

浅谈船舶交流电网在线绝缘监测装置研究
时间:2026-03-05
电力系统设备维修中常见错误做法的分析
时间:2026-03-05
10kV高压开关柜日常维护及检修
时间:2026-03-05
双机容错的容错方式/支持平台
时间:2026-03-05
浅谈变电站继电保护定义及线路保护原理
时间:2026-03-05
什么是集群
时间:2026-03-05
双机的工作模式/监控方式/支持数据库
时间:2026-03-05
网络摄像机的安全性
时间:2026-03-05
网络摄像机的软件升级
时间:2026-03-05
网络摄像机的照明度
时间:2026-03-05
玻璃釉电容器的结构与特点
时间:2026-03-05
关于STM32WL LSE 添加反馈电阻后无法起振的...
时间:2026-03-05
电阻的标称阻值和允许偏差
时间:2026-03-05
聚四氟乙烯电容器的结构与特点
时间:2026-03-05
漆膜电容器的结构与特点
时间:2026-03-05
复合介质电容器的结构与特点
时间:2026-03-05
瓷介电容器的结构与特点
时间:2026-03-05
电解电容器的结构与特点
时间:2026-03-05
电解电容的型号
时间:2026-03-05
铝电解电容特性型号参数表
时间:2026-03-05