01
PART
是什么
电容器(英文:capacitor,用符号C表示)是将电能储存在电场中的被动电子元件,顾名思义它是一个装载电荷的容器,在线性时不变系统中有:


平行板电容器
我们在电路电路中通常研究的是器件u和i的关系,而电流的定义为:单位时间里通过导体任一横截面的电荷量,即电流为电荷的变化率那么

,从而得出电容的VCR(Voltage Current Resistance)关系:

但是在电路系统计算中,你愿意求解微积分方程吗?因此电容和电感必须引入复域,才能让问题得到有效解决。当然时域研究也是有用处的,以后在测量篇会讲解。
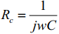
这里采用倒叙的方法,先提前说下电容的阻抗为

再看下这个公式怎么解释我们平时知道的电容特性,我们知道 电容通高频,阻低频, 就是随着频率增高阻抗越小,刚好跟公式w和C在分母上对应,随着 频率增加,电容的阻抗降低 。
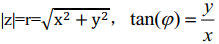
在上面的电容阻抗公式中,我们知道了复数j对应的是角度(90 ^0^ ),那么就来探索下j为什么对应了角度。因为j是复数,那先让我们看下复数定义:对于任意实数,x,y形如:z=x+jy的数为复数。x是实部y是虚部。
跟向量一样它可以用平面坐标表示,这个平面叫做复平面。

其中

利用直角坐标与极坐标的关系:

因此复数z=x+jy还可以表示为:

在利用神奇的欧拉公式:

那么复数z=x+jy还可以表示为:

在极坐标下我们知道一个向量可以由模值和角度表示,同理

为什么要用极坐标表示呢,因为在这种表示法下,计算会很简单。
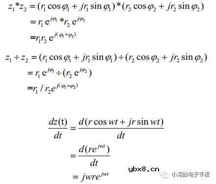
举个例子:
乘除法和微分计算:

在电路系统研究中我们喜欢用正弦函数Acos(wt+φ)作为激励源(输入),因为它的形式比较简单,理论研究的很透彻,并且根据傅里叶变换所有的波形都可以由多个正弦函数叠加表示。因此我们也用正弦函数作为激励来研究稳态下的电容电路,这里有个名词叫做正弦稳态分析*(注:在电路研究中我们喜欢把**cos* 叫做正弦,但不影响我们对问题的研究) 。
正弦函数有三个特征即:幅度A,角频率w和初相φ,知道了这三个特征后,就唯一确定一个正弦函数。 在正弦稳态电路中信号的频率是不会改变的 ,即输入是


比如输入的信号是


在通过欧拉公式变换到极坐标:

,因为前面说过,正弦稳态电路中信号的频率不会发生变化,所以我们只用关心幅度和相位,因此令

好了这里就要引出电容阻抗了。
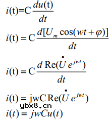
在开头的时候知道电容的时域关系是:

从而得出电容阻抗

现在我们推导出电容阻抗了,那90度怎么来的呢?这里因为

同理:

根据上面复数的极坐标中介绍的



我们这里为什么要做这么麻烦的处理呢, 就是为了通过复数引入阻抗,这样正弦稳态电路的计算可以仿照电阻电路的计算来处理。 电容的电压电流关系就可以表示为:U=RCI。
需要注意的是这里引入复数只是为了计算方便,实际上并不存在复数的电压和电流,也没有一个器件的参数会是虚数,复数只是对正弦稳态电路分析的工具。
电容的理论分析已经完了,接下来让我们看下常见的电容。
1
直插电容(Leaded capacitor)
几乎所以电容都可以做成直插式,包括:电解电容,陶瓷电容,超级电容器,薄膜电容器,银云母电容器,玻璃和其他专业类型电容器。直插电容一般有两条腿,体积比贴片式的大,表面有数字字母等标识。
直插电容的机械、温度等可靠性要优于贴片电容,比如机械振动大的场合尽量用直插电容。
但是直插电容生产安装焊接调试拆卸等比较复杂,体积较大,而且引线会带来寄生电感影响高频性能,比如射频小型化领域基本都是用的表贴式的。
2
贴片电容(Surface mount capacitor)
贴片电容的相对于直插电容更加受限,因为贴片电容没有引脚的缘故,在焊接过程中焊锡的高温会直接加在电容上,因此并不是所有的电容都适合做成贴片式的。
常见的贴片电容包括:陶瓷电容、钽(tan)电容和电解电容。陶瓷电容上面没有印字,钽电容和电解电容上面都有印字,包括正极(有横杠一边)指示、容量、耐压值和温度等信息。
贴片电容生产简单、成本低,并且焊接的时候使用SMT(Surface mount technology),用回流焊,效率高,直插式的需要用波峰焊成本高。
3
PCB寄生电容(Capacitor Parasitic)
PCB的结构跟平板电容器(



因为PCB上存在寄生电容,频率越高损耗越大,因此PCB走线(微带线)可等效为一个低通模型。关于PCB的频率和阻抗特性,以后会详细介绍。

好了接下来让我们看下详细的电容分类
不同的介质对电容的影响很大,因此电容主要按介质分类:有陶瓷电容、电解质电容、薄膜电容。
1
陶瓷电容(Ceramic capacitor)
陶瓷电容分为两类:多层陶瓷电容和圆片瓷介电容。
目前用的最多的就是多层陶瓷电容MLCC( multilayer ceramic capacitor ),电容器跟PCB的寄生电容不一样,电容器希望在更小的体积内做出大容量电容,因此出现了MLCC电容器,大致结构如下图所示

通过多层的结构增大电容量,总的电容量

目前日本村田(muRata)可以做到封装是008004的体积上容量10nf,我们平时人工焊常用的0805封装是它的125倍,人头发的直径在0.1mm左右,而它的宽只有0.125mm,跟头发丝差不多,可以想象下它多小了。


外界环境对电容内电介质(Dielectrics)的影响很大,因此电子工业联盟 EIA(Electronics Industries Alliance) 按照电介质的稳定性把MLCC陶瓷电容按照温度等级分类,ClassⅠ是超稳定型的,对电压、温度、频率和时间都表现出优良的特性。
ClassⅠ中最有名的就是 C0G, 在无源电子行业把C0G叫做 NP0 (Negative Positive Zero) 就是正负温度系数为0。这些类型的电容器电容比较小,通常不超过1nF(村田现在可以做到100nF),主要用于谐振电路和滤波,频率可以达到10MHz至30GHz之间。

ClassⅠ电容的编码(code)
村田C0G电容:GRM31C5C2A104JA01,随频率温度电压变化图。


ClassⅡ、ClassⅢ是大容量型的。虽然ClassⅠ很稳定,但是容量太小,对于噪声在1-40 MHz的旁路和电源去耦,则需要大容量的电容。ClassⅡ、ClassⅢ多层电容器(MLCC)的电容值在1nF至100μF的范围内。
第二类电容中用的最多就是X7R,工作温度在-55到125


ClassⅡ和Ⅲ电容的编码(code)
村田X7R电容:GRJ55DR73A104KWJ1,随频率温度电压变化图。



电容随时间的漂移
多层陶瓷电容器MLCC(Multilayer ceramic capacitor)
独石电容(Monolithic ceramiccapacitor)
独石电容其实就是带引脚的MLCC,国外叫做leaded-MLCC,因为有引线的缘故,独石电容一般比同种类型贴片MLCC频率低一点,但是可靠性比贴片电容高。
圆片瓷介电容(Disc ceramic capacitors)
圆片瓷介电容也叫做瓷片电容,外形呈圆盘状,跟MLCC不一样的是它里面只有一层介质和一对电极,因此其容量比MLCC要小(小于0.1uF),耐压值可以做到kV,适合做高压电容。

2
电解质电容器(Electrolytic capacitor
电解质电器包括两大类,一种是内部是电解液的液态电解电容器(Liquidelectrolyte capacitor),还有一种是固态的聚合物或者高分子的固态电解电容器(Solidelectrolyte capacitor)。
铝电解质电容(Aluminum Electrolytic Capacitor)
铝电解电容器由两块铝箔和浸入电解液的纸质隔片制成。两个铝箔之一覆盖有一层 氧化物层 ,该 铝箔充当阳极 ,而未镀膜的铝箔充当 阴极 。

聚合物铝电解电容(Polymer aluminum electrolytic capacitor)
村田制作所“ECAS系列”聚合物铝电解电容器通过以多层铝箔结构为阳极、固体导电聚合物为阴极实现低ESR、低阻抗和高静电容量。 ECAS系列具有无偏压特性和稳定的温度特性,在纹波吸收、滤波和瞬态响应方面具有优异性能,堪称各类应用的理想之选。
因此,该系列产品适用于各种供电电路的输入输出电流的滤波,并当CPU周边设备的负载变化超出范围时作为备用装置使用。该系列产品有助于 减少元件数量、节省基板空间 。


钽电容(Tantalum capacitor)
钽电容器是电解电容器的一种。它们由充当阳极的钽金属制成,并被一层充当电介质的氧化物覆盖,并且被导电阴极包围。钽的使用允许非常薄的介电层,因此钽电容允许在同等体积下做出高容量的电容。
下图是聚合物钽电容的结构图,固态钽电容跟聚合物钽电容结构差不多,不同的是阴极把导电聚合物换成MnO 2 。

固体电解电容器具有工作温度范围宽,结构紧凑,ESR低和抗纹波电流高的优点,但唯一的缺点是工作电压低于35V。
液体电解质通过离子传导作为电荷转移,固体电解电容器利用电子传导进行电荷转移,因此电导率比铝电解电容器高4或5位数,等效串联电阻ESR更小。适合在需要在快速响应或抗纹波电流能力强的设备中使用。
3
薄膜电容(Film capacitor)
薄膜电容器是一种使用塑料薄膜作为电介质的电容器。它们相对便宜,随时间稳定并且具有低自感和ESR,薄膜电容器可以承受较大的无功功率,体型较大,常用于电力电子行业。
薄膜电容大致分为两类:金属箔薄膜电容(Film/Foil)和金属化薄膜电容(Metallized Film)
金属化薄膜电容具有自我修复的功能,失效的状态是开路,而陶瓷电容和电解质电容都是短路,因此金属化薄膜电容安全性能非常高。
CBB电容
到这里已经把常见的电容讲解完了,这里做个总结:

延伸阅读
实际应用的电容都存在电感电阻等非理想特性,简单的等效模型如下图所示

总阻抗:因为并联的电阻很小,可以忽略不计,因此总的阻抗可以表示为:

这里 Z是总的阻抗

Xc是容抗:




损耗因子DF(Dissipation Factor):也叫做 损耗角正切, 是交流应用下电容器损耗的量度。它是等效串联电阻与电容电抗的比率,通常以百分比表示。上面的矢量图说明了DF,ESR和阻抗之间的关系。损耗因子的倒数称为 “ Q” 或品质因数 。为方便起见,“ Q”因子通常在损耗因子特别小的时候才用。
电容分类:

一文详解电气二次控制回路
时间:2026-03-05
一文详解35kv变压器结构
时间:2026-03-05
电力变压器健康状态多参量感知与智能评估
时间:2026-03-05
充电桩微电网系统及应用场景
时间:2026-03-05
新型配电网保护控制技术探索
时间:2026-03-05
电气二次回路图及原理
时间:2026-03-05
高压开关柜结构及原理总结
时间:2026-03-05
变电站一次设备接线图综合梳理
时间:2026-03-05
构网型变流器电力电子装备控制典型应用
时间:2026-03-05
含构/跟网型逆变器的电力系统稳定性
时间:2026-03-05
玻璃釉电容器的结构与特点
时间:2026-03-05
表贴电容的分类
时间:2026-03-05
关于STM32WL LSE 添加反馈电阻后无法起振的...
时间:2026-03-05
RI-80F型高压高阻玻璃釉膜电阻分压器
时间:2026-03-05
电阻的标称阻值和允许偏差
时间:2026-03-05
高压电容怎么测好坏_如何提高高压电容寿命
时间:2026-03-05
电容屏也有区别?自电容屏和互电容屏有什么...
时间:2026-03-05
一文读懂,电容器的工作旅程
时间:2026-03-05
如何绕制电感与选择磁芯减小寄生电容
时间:2026-03-05
浅谈高压贴片电容分类与性能参数
时间:2026-03-05