一前言
随着科学技术的发展和电子产品种类和数量不断增多,造成了日益复杂的电磁环境。为了控制电子产品的电磁辐射以及在电磁环境下能够稳定工作,世界各国组织和机构出台了许多电磁兼容(EMC)标准,为了能满足这些标准的要求,在产品设计过程不得不考虑电磁兼容设计,常见的电磁兼容设计有屏蔽、接地和滤波。今天分享的内容与滤波有关,是我们常见的滤波器件—电容。
二电容
电容作为三大基本电路元件之一,发展至今已经有了各式各样的产品形态,如瓷介电容(CC)、纸介电容(CZ)、铝电解电容(CD)、钽电解电容(CA)、安规电容以及穿心电容等,不同的电容形态各异,作用不同,但也有作为电容的通性。
1.电容的结构
电容的结构组成可以简单分为三部分:电极+介质+电极,以下是片状多层陶瓷电容和铝电解电容的基本结构示意图:


电容的容值计算公式为:

C为电容值,单位法拉F,ε为介质介电常数,S为电极的面积,d为电极的距离。
2.电容的特性
(1)频率特性:电容具有隔离直流通交流,隔离低频通高频的特点,可以通过电容的阻抗计算公式来看:

Z为阻抗,单位Ω,W为角频率,C为电容大小。通过公式可以知道,角频率增大,阻抗Z减小,体现了频率越高阻抗越低的特点。
理想的电容阻抗随频率降低,但在实际应用中,考虑到电路的寄生电感带来的影响,电容的频率特性会在某个频率点发生转变,这个频率点我们称为电容的谐振频率,计算公式如下:

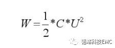
(2)储能特性:电容两个极板在上电过程通过储存电荷,将电能转换为电势能,存储在电容两端,存储的能量大小计算公式如下:

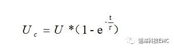
电容的储能就是一次充电过程,电容充放电的时间常数的大小与电路中电阻、和电容本身容量有关,计算方式如下:
RC电路的时间常数:τ=RC
充电时:

U是电源电压。
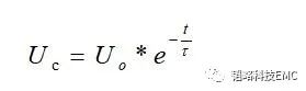
放电时:

Uo是放电前电容上电压。

三电容在EMC整改中的应用
在EMC整改过程中,电容滤波是常用的手段之一,利用电容在不同频段的频率特性可以实现对电磁辐射的抑制,常用的电容谐振频率可以参考下表:

在整改过程中,通过滤波可以改变噪声的辐射路径,从而实现抑制电磁辐射的目的。针对不同的辐射频段选用不同的电容滤波,但是前提是先找到辐射的主要路径。
(1)高频辐射滤波:下面是某设备的辐射测试数据,在750MHz频段辐射值较高:

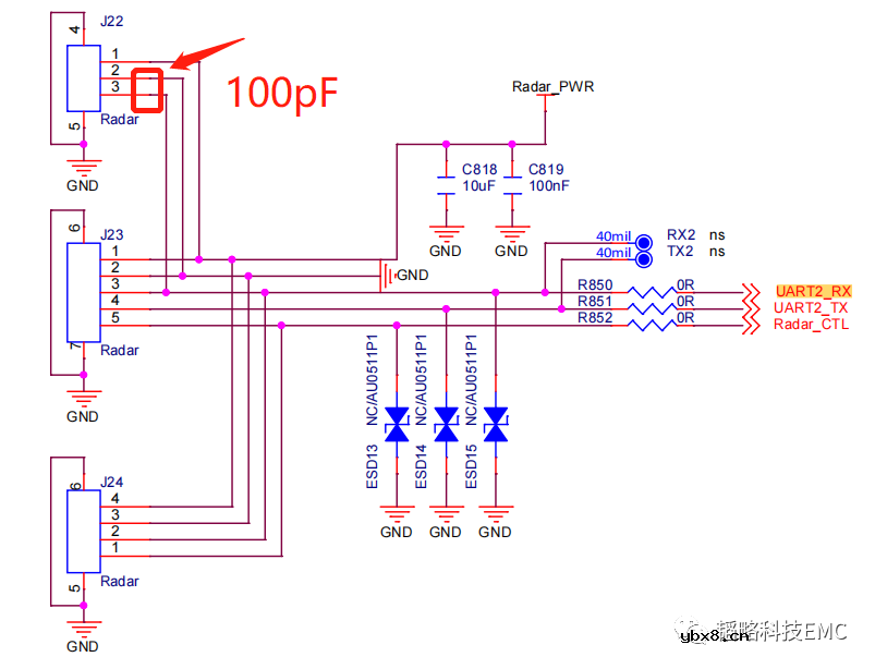
通过排查发现主要的辐射路径是串口通信接口,如下:

通过在接口处做电容滤波,滤波后数据如下:

(2)低频噪声滤波
在DCDC电源电路设计中,为了应对可能出现的低频噪声辐射问题,例如车载设备的传导电压法测试,通常需要在电源端预留足够的滤波,常见的电容滤波组合为LC滤波、π型滤波,滤波参数需要参考需要滤波的频段来确定。
LC滤波的谐振频率计算公式如下:

作为低通二阶滤波,在谐振频率点之后的频段,插损为-20db/10倍频。如果需要滤波的频点为500KHz,滤波谐振频率f设置为50KHz,那么计算出来的滤波参数可以实现在500KHz频点达到20dB的噪声抑制效果。
四电容储能
电容的储能特性能够为电路提供短暂的能量供给,在一些EMC抗扰类测试项目中,涉及电源波动抗扰度测试,通过储能电容可以让电路在测试过程中有足够的能量保持正常工作。
以电压跌落测试为例,电压暂降和短时中断抗扰度试验是为了模拟因为线路过载引起的长时供电电压升高或降低,或者其他大功率负载电流瞬间抽取的过大,导致输入电压瞬间下降或者供电短时中断。
要解决电压跌落的问题,首先要确定是哪一部分的电路问题,只有定位到具体的电路模块后,才能分析用哪种措施去补偿这些跌落。利用电容的储能特性,可以选择在负载供电端并联电容,如低ESR的钽电容或者电解电容。
五总结
无论是电路设计还是EMC整改设计,电容都发挥了极大的作用,熟练掌握电容的结构与性能很关键。在EMC整改过程中,电容只有放在正确的位置才能发挥出最大的效果,所以很多时候除了要有好的器件,也需要有足够的经验用于判断问题,进而解决问题。关于电容的更多应用,欢迎各位留言讨论、交流。
审核编辑:汤梓红
电力变压器健康状态多参量感知与智能评估
时间:2026-03-05
充电桩微电网系统及应用场景
时间:2026-03-05
新型配电网保护控制技术探索
时间:2026-03-05
电气二次回路图及原理
时间:2026-03-05
高压开关柜结构及原理总结
时间:2026-03-05
变电站一次设备接线图综合梳理
时间:2026-03-05
构网型变流器电力电子装备控制典型应用
时间:2026-03-05
含构/跟网型逆变器的电力系统稳定性
时间:2026-03-05
变电一次接线图:变电站主接线和站用电接线...
时间:2026-03-05
全面详解保护接地、接零、漏保
时间:2026-03-05
玻璃釉电容器的结构与特点
时间:2026-03-05
表贴电容的分类
时间:2026-03-05
关于STM32WL LSE 添加反馈电阻后无法起振的...
时间:2026-03-05
RI-80F型高压高阻玻璃釉膜电阻分压器
时间:2026-03-05
电阻的标称阻值和允许偏差
时间:2026-03-05
高压电容怎么测好坏_如何提高高压电容寿命
时间:2026-03-05
电容屏也有区别?自电容屏和互电容屏有什么...
时间:2026-03-05
一文读懂,电容器的工作旅程
时间:2026-03-05
如何绕制电感与选择磁芯减小寄生电容
时间:2026-03-05
浅谈高压贴片电容分类与性能参数
时间:2026-03-05