相信大家都知道对于电路设计,芯片的供电管脚需要增加一个去耦电容,往往很多“前辈”会告诉你,根据“前辈”的数十年的经验,容值选0.1uF就好了。
那这里有几个需要深究的问题:
1. 为什么需要去耦?
2. 去耦电容容值怎么选?
3. 用什么类型的去耦电容?
为什么要去耦?
芯片作为系统产品设计的核芯,为了保证其在复杂的电磁环境下可靠稳定的工作是作为硬件工程师的一个设计基本要求。
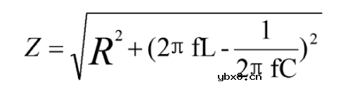
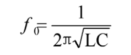
如下图所示,在芯片的供电管脚和接地管脚之间并联一个去耦电容,利用电容的储能特性,可在芯片电源出现短时波动为芯片提供相对稳定的电压,保证芯片的供电稳定,但往往这个我们又称之为储能电容,相对去耦电容都是容值较小,而储能电容则是容值较大的。
当系统受到高频电磁干扰时,去耦电容的高频阻抗特性可将干扰信号旁路,减小流向芯片的干扰,起到保护芯片的作用。
当芯片内部有高频信号,去耦电容同样可以抑制芯片对外发射干扰信号的作用。
所以,去耦电容的主要作用是抑制外部高频信号对芯片的干扰,同时也抑制芯片内部的高频信号对外部的干扰。








审核编辑:刘清
新型配电网保护控制技术探索
时间:2026-03-05
电气二次回路图及原理
时间:2026-03-05
高压开关柜结构及原理总结
时间:2026-03-05
变电站一次设备接线图综合梳理
时间:2026-03-05
构网型变流器电力电子装备控制典型应用
时间:2026-03-05
含构/跟网型逆变器的电力系统稳定性
时间:2026-03-05
变电一次接线图:变电站主接线和站用电接线...
时间:2026-03-05
全面详解保护接地、接零、漏保
时间:2026-03-05
10kV配电室核心设备功能、作用与重要性
时间:2026-03-05
一文详解变压器结构、试验
时间:2026-03-05
玻璃釉电容器的结构与特点
时间:2026-03-05
表贴电容的分类
时间:2026-03-05
关于STM32WL LSE 添加反馈电阻后无法起振的...
时间:2026-03-05
RI-80F型高压高阻玻璃釉膜电阻分压器
时间:2026-03-05
电阻的标称阻值和允许偏差
时间:2026-03-05
高压电容怎么测好坏_如何提高高压电容寿命
时间:2026-03-05
电容屏也有区别?自电容屏和互电容屏有什么...
时间:2026-03-05
一文读懂,电容器的工作旅程
时间:2026-03-05
如何绕制电感与选择磁芯减小寄生电容
时间:2026-03-05
浅谈高压贴片电容分类与性能参数
时间:2026-03-05