在boost电路的工作过程中,输入电容随着Boost电源不断的进行充电和放电,当mos打开时,电流突然增大,输入电容辅助提供电流,处于放电状态,当mos关闭时,电流突然减小为0,电容处于充电状态。
输入电容的选择也对电路的稳定有一定的影响,当输入电容容值选的过大了,会造成不必要的浪费,当输入电容容值过小时,可能会导致输入电源存在电压跌落或者电容承载的电流达不到要求,导致发热失效。

如上图,是升压电路的拓扑图,在电源输入节点,用基尔霍夫的电流定律可得I in =I Cin +I L, 我们把输入近似成稳定的电流源,那么当电感电流IL变化时Icin也会跟随电感电流一起。大致的变化曲线如下图所示。


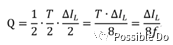
当电容电流大于0时,电容充电,当电容电流小于0时,电容放电。并且其纹波大小和电感的一致,均为ΔI~L~~。理想的电容是不消耗能量的,如上图,电容充电时间等于电容放电时间T/2,并且充电和放电的最大电流均为1/2ΔIL~~,~那么在充电周期中电容所获得的电荷量为:~~


又由于电容上的纹波大小与电感上相等,因此:

综合上述公式可得:

其中,Vq为电容电压的变化量,f为开关频率,L为电感感值。
由于电容器并不是一个理想的元器件,因此在boost电路中电压的纹波大小不仅来源于电容充放电时的电压变化Vq,还会受到电容的寄生参数ESR的影响。电容器受本身的结构和材料影响,在电路中会一个等效串联的电阻,我们一般称为ESR。当ESR上有纹波电流流过时,ESR上必然有压降的变化。ESR的电压变化为:

那么,输入电压总的纹波大小为


由上述公式可知,在输入输出电压,开关频率,电感都已确定的情况下,若要求输入电源的纹波尽可能的小,那么我们能做的就是尽量选大容量,小ESR的电容,但在实际应用中常用的陶瓷电容ESR非常小,但容量一般都比较小,价格便宜,对于电解电容来说,容量可以做的非常大,但同样ESR也非常大,价格也比较便宜,另外一种就是钽电容,它ESR小,容量也能做到接近电解电容大小,主要的缺点就是价格贵。因此,输入电容的选择要根据实际的电路要求综合考量。
定向耦合器的技术指标及其设计
时间:2026-03-05
吃个披萨就能理解云计算中IaaS、PaaS和SaaS
时间:2026-03-05
详解物联网时代关键技术SDNFV
时间:2026-03-05
顺应IoT潮流,蓝牙Mesh“抢”入家居市场
时间:2026-03-05
物联网无线通信技术盘点 蓝牙/WiFi/Zigbee谁...
时间:2026-03-05
物联网常用的组网技术浅析
时间:2026-03-05
IOT时代谈驱动/MCU软件技术
时间:2026-03-05
物联网常见无线通信技术使用的频率
时间:2026-03-05
一种基于ZigBee和WiFi技术的智能家居系统
时间:2026-03-05
一文了解LoRa技术关键特性和优势
时间:2026-03-05
玻璃釉电容器的结构与特点
时间:2026-03-05
表贴电容的分类
时间:2026-03-05
关于STM32WL LSE 添加反馈电阻后无法起振的...
时间:2026-03-05
RI-80F型高压高阻玻璃釉膜电阻分压器
时间:2026-03-05
电阻的标称阻值和允许偏差
时间:2026-03-05
电容在交流电路中是怎样工作的?
时间:2026-03-05
高压电容怎么测好坏_如何提高高压电容寿命
时间:2026-03-05
电容屏也有区别?自电容屏和互电容屏有什么...
时间:2026-03-05
一文读懂,电容器的工作旅程
时间:2026-03-05
如何绕制电感与选择磁芯减小寄生电容
时间:2026-03-05