在一些如变频家电、电动自行车、工业变频器等需要FOC算法的场合,通常会采用Shunt电阻将相电流转化为相电压,并利用运放进行放大;相电流检测的精度是决定整个电机控制性能的一个重要因素。
电机控制中,PWM频率一般是20KHz左右,最小PWM占空比常常定义为5%;而在程序控制中,ADC采样点一般控制在这个相电流检测窗口正中间,所以对于Shunt电流检测电路来说,必须在ADC采样时刻之前完成电压信号的建立稳定。而运放输出的稳定时间与运放的压摆率(SR)以及带宽参数相关;故弄清运放对于阶跃信号响应时间、选择一颗合适带宽及压摆率参数的运放是十分重要的。
接下来,我们将讨论带宽及压摆率对于输出响应时间的影响
首先
如果运放放大电路外围不存在外加的电容,可以认为是一阶系统,如下图1、图2所示

根据一阶系统的数学模型

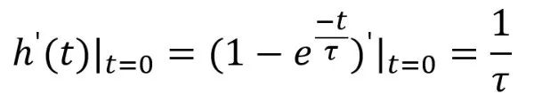
一阶系统对单位阶跃响应的公式:


▲图3.一阶系统的单位响应曲线
一阶系统响应曲线在t=0时的斜率为1/T

该斜率即变化速率,随时间下降;当t=∞时,动态过程结束,一般我们会取



当输入信号为小信号时输出响应的计算方法
通常我们认为幅值小于350mV的阶跃信号为小信号,此时输出信号上升时间与阶跃信号幅值无关;上升时间受到运放闭环带宽限制,压摆率未达到极限。
定义运放输出的上升时间为输出稳定值10%-90%的时间差,用tr表示,并假设电路为一阶系统:

该公式参考一阶系统的单位阶跃响应,其中



代入上式求得:

注意fc为闭环带宽,以3PEAK的TP1562AL1为例,其带宽为6MHz,若放大10倍,则闭环带宽为0.6MHz;
当输入信号为大信号时输出响应的计算方法
当输入信号是缓慢变化的信号或者小信号时,IS1小于输入饱和电流IS1 max,IS1随输入差分电压线性变化;
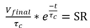
当一个大于350mV的阶跃信号输入到VIN后,所有的电流IS1都从输入级一侧流出,IS1等于饱和电流IS1 max,如图4;IS1对输出级的Miller电容C1充电,输出的压摆率SR就是IS1对C1充电的速率,等于IS1/C1。

▲图4. 大信号输入使输出进入Slewing状态
01
从图4可以观察到,输出信号上升时间由两个阶段组成:
第一阶段,开始会以固定的斜率上升,压摆率达到极限;
第二阶段,当输出信号接近终值时,由于输出已经响应了输入信号的变化,反馈到输入端,两输入端之间的差值Vos减小,输出信号又开始受到带宽的限制。
02
那输出信号的整体上升时间是多少?应该如何计算?
之前已经提到,根据一阶时间响应,可以得到以下公式:

对Vout在t时刻的求导,得到的Vout曲线在t时刻的斜率即变化率


令

其中


计算得到转折点:

令转折点系数:

转折点处的电压值,

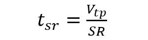
求出转折点前受SR控制的时间:

计算出转折点之前受到SR控制的时间:

转折点后上升的电压范围:

转折点后受GBW控制的时间:

整体时间为

03
通过以上计算公式可以计算出TP1562AL1的上升时间T=1.48us;对于一般变频空调、洗衣机、电动自行车、变频器等应用,TP1562AL1的动态指标式已可以满足要求,倘若需要更快响应速度的运放,可以考虑采用TP128X,TP258X系列运放。
同样用公式计算可以得出,各自的上升时间为:1.15us,0.88us
这些智能家电安全知识 你值得了解
时间:2026-03-05
物联网安全如何从机器学习中受益?
时间:2026-03-05
物联网10大无线短距离通信语言及技术
时间:2026-03-05
智能家居系统设计原则
时间:2026-03-05
5步教你如何远离物联网安全的威胁
时间:2026-03-05
5步远离物联网威胁
时间:2026-03-05
云计算风行 盘点云服务四大核心技术
时间:2026-03-05
如何在养殖中应用物联网技术?
时间:2026-03-05
智能家居设计安装方案简析:智能照明扮演重...
时间:2026-03-05
ZigBee、GPRS在充电桩中的应用
时间:2026-03-05
玻璃釉电容器的结构与特点
时间:2026-03-05
表贴电容的分类
时间:2026-03-05
关于STM32WL LSE 添加反馈电阻后无法起振的...
时间:2026-03-05
RI-80F型高压高阻玻璃釉膜电阻分压器
时间:2026-03-05
电阻的标称阻值和允许偏差
时间:2026-03-05
电容在交流电路中是怎样工作的?
时间:2026-03-05
高压电容怎么测好坏_如何提高高压电容寿命
时间:2026-03-05
电容屏也有区别?自电容屏和互电容屏有什么...
时间:2026-03-05
一文读懂,电容器的工作旅程
时间:2026-03-05
如何绕制电感与选择磁芯减小寄生电容
时间:2026-03-05