6.1.几个基本定律
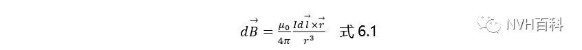
6.1.1毕奥-萨伐尔定律

图6.1 毕奥萨伐尔定律
电流元Idl在空间某点P处产生的磁感应强度dB的大小与电流元Idl的大小成正比,与电流元Idl所在处到P点的位置矢量和电流元Idl之间的夹角的正弦成正比,而与电流元Idl到P点的距离的平方成反比。

描述的是电流元在真空任意点P处所激发的磁场的定量计算,当然P点的总磁场应为所有电流元在P点处磁感应强度dB的矢量叠加。
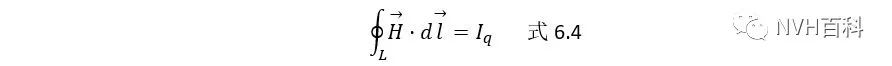
6.1.2.安培环路定理
毕奥-萨伐尔定律给出了由电流计算磁感应强度B的方法,由此定律可以推出:


图6.2 安培环路定理
即安培环路定理:在真空稳恒磁场中,磁场强度矢量H沿任何闭合路径的线积分,等于这闭合路径所包围的各个电流的代数和。
在有磁介质时,安培环路定理仍然适用,但磁场强度H取值应为:H=B/μ0-M。
6.1.3.全电流定律
全电流定律是由麦克斯韦将安培环路定理进行推广,任意一个闭合回线上的总磁压等于被这个闭合回路所包围的面内穿过的全部类型电流的代数和。

安培环路定理不适用于非恒定电流,比如在电容器两极板间取一闭合曲面,由于曲面没有包围传导电流(媒介中由电荷的运动产生的电流),所以安培环路定理右边为零;若在有传导电流处取回路,电流和是不为零的,导致运用安培环路定理的时候出现了矛盾;
麦克斯韦提出假设:变化的电场能在其周围激发磁场,定义电场的变化率为位移电流,位移电流不是电荷作定向运动的电流,但它能引起的变化磁场,与传导电流引起的变化磁场等效。
全电流是指通过空间某截面的电流应包括传导电流与位移电流之和;全电流是连续的,在空间构成闭合回路。导线中有传导电流,而电容器中有位移电流,即传导电流中断处,有位移电流接续,此时安培环路定理就成立了,因此全电流定律是安培环路定理的补充,同时也是麦克斯韦预言电磁波存在的理论基础之一。
6.2磁路
6.2.1 磁路的定义及构成
磁通量所通过的磁介质的路径称为磁路;
与电路电流优先从电导率高的路径通过类似,磁通优先从磁导率高的介质中通过,但导磁材料磁导率一般是非导磁材料的几千倍,与电路中导电材料是非导电材料的几千亿倍相差较大,因此磁路设计中有时需要考虑漏磁的因素。

图6.3 磁路示意图
典型磁路构成:
1.磁源:通电线圈或永磁体,产生磁势;磁势也称磁动势,用F表示,为磁路磁场应力,类似于电学中的电动势或电压,单位为A*匝 (安培匝)。
2.高磁导铁芯:目的是使磁通集中在指定的路径上并获取较强的磁感应强度,用软磁材料制成指定形状的铁心来实现。
3.空气隙:在电机的定转子之间存在空气隙,也是磁路的组成部分;一些特殊磁路中如变压器是可以不存在气隙的。

图6.4 电机磁路示意图
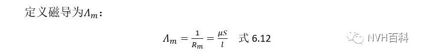
6.2.2磁路的欧姆定律
假设均匀磁路:铁芯截面积为S,周长为l,磁导率为μ,铁芯上绕以匝数为N、电流为i的通电线圈,计算其磁路特征量:

图6.5 均匀磁路
根据安培环路定理可知:

假设磁路无漏磁,磁场全部从铁芯中经过,且铁芯截面各处磁感应强度B均相等且与截面S垂直,定义磁通量为磁感应强度B与面积S的乘积,简称磁通(Magnetic Flux),磁通为标量,用“Φ”表示。
磁通Φ:


由上面的磁路,可参照电路图的方式画出其磁路图:

图6.6 磁路图
6.2.3磁路的基尔霍夫定律
磁路的基尔霍夫第一定律:由于磁感线是封闭曲线,无头无尾,因此磁路中任一节点处,进入该处的磁通与离开该处的磁通代数和应为零,表达式为:

磁路的基尔霍夫第二定律:由全电流定律可以推出,任一闭合磁路中各段磁压的代数和等于环绕这个回路所有磁动势的代数和,表达式为:

由于磁路与电路的相似性,二者各基本参数及定律的类比关系见下表:
表6.1 磁路与电路类比

6.2.4磁路的串联、并联

有如下图磁路

图6.7 磁路的串并联
各变量间关系如下:

6.3气隙
6.3.1气隙定义及特征
在电磁铁及电机的磁路结构中都包含气隙,电机中气隙指的是电机定子和电机转子之间的间隙。
气隙的边缘效应和漏磁效应:
由于气隙的磁阻为铁芯磁阻的几千倍,因此a与b之间的磁位差足以引起气隙间磁力线向外扩散,导致磁力线经过的面积变大,即气隙的边缘效应,甚至有少量磁力线不通过气隙,直接从c到d,即漏磁。

图6.8 气隙的边缘效应及漏磁
由于气隙的漏磁效应,气隙的有效截面积并不等于铁芯的截面积,现实中若气隙长度不超过气隙处铁芯截面尺寸的15%-20%且气隙两边的铁芯端面平行称为短气隙,其有效截面积可根据经验公式计算:
(1)气隙两边端面同轴、平行、截面尺寸相同,则气隙的有效截面为尺寸可将截面的长/宽各增加一个气隙长度,若是圆形则将直径增加一个气隙长度。


图6.9 铁心两端等面积气隙
(2)若两端面同轴、平行、截面尺寸差异较大,则气隙的有效截面尺寸为将小截面边长均增加两个气隙长度,若是圆形则将小截面的直径增加两个气隙长度;即:


图6.10 铁心两端不等面积气隙
6.3.2存在气隙的磁路的计算

图6.11 存在气隙的磁路
假设气隙δ足够小,磁路无漏磁,计算铁心及气隙处的磁势、磁阻、磁通、磁感应强度等量:
(1)磁动势:整个系统的磁动势为通以电流i的N匝绕组,系统的总磁势为

(2)磁阻及磁导:由于系统假设为无漏磁,因此磁力线只从铁心及气隙中通过,因此磁路可以简化为铁心与气隙串连起来的磁路,磁路的磁阻为铁心磁阻与气隙磁阻之和;

(3)磁通
磁路的磁通为:

磁通为连续量,不管在气隙或铁心,其磁通是相等的。
(4)磁位降及磁场强度
磁路某段的磁场强度与其路径长度的乘积为此段磁路的磁位降,数值上等于磁通与磁阻之积,磁路上串连的总磁位降之和为磁动势。

由于铁心磁导率为空气磁导率的几千倍(如硅钢大约为空气的8000倍左右),由式6.26可知,虽然气隙较短,但一般气隙的磁压降较铁心大的多。

(5)磁通密度:
假设铁心及气隙的横截面中,磁力线分布均匀,定义磁通密度为磁通除以磁路的面积,使用B表示:

结合前文磁感应强度的介绍,磁通密度与磁感应强度可以认为是同一个值,这也是为什么磁通密度与磁感应强度都使用B来表示。
根据式6.33及6.34可知,铁心和气隙处的磁通密度是不相等的。
根据上面的计算,以上磁路中重要的几个量均可以使用已知量计算得出,这些已知量包括:电流i、匝数N、铁心平均长度lFe、铁心横截面积SFe、铁心磁导率μ、气隙长度δ、气隙面积Sg、真空磁导率μ0(这里空气隙的磁导率使用真空磁导率表示),如图6.11所示。
6.4 永磁体的等效
6.4.1 磁路中的永磁体等效原理
永磁体作为磁源与电流类似,会产生相应的磁动势,但同时又是磁路的一部分,并且由于永磁体存在退磁曲线及回复曲线,且有些永磁材料两个曲线并不重合,因此永磁体的工作状态很复杂,这里假设永磁体为稀土永磁体,其退磁曲线接近直线,且回复线与退磁曲线相重合。
假设永磁体工作在恒定的磁场中,只需要将永磁体作为恒定的磁源串连或并联到磁路中即可,但当其工作在交变的磁场中,比如永磁同步电机,可以按照等效磁通或等效磁势的方法进行等效。
6.4.2等效磁通
永磁电机在运行时,将永磁体等效为一个恒磁通源Φr与一个恒定磁导Λr相并联的磁通源:其中为Φr永磁体虚拟内禀磁通,对于给定性能和尺寸的永磁体,它是一个常数:

其中Sm为永磁体提供每极磁通的截面积;Br为剩余磁感应强度。
Λr为永磁体的内磁导,对于给定性能和尺寸的永磁体,它也是一个常数:

hMp为每对极磁路中永磁体磁化方向的长度(m),μr为相对回复磁导率,是永磁体固有参数,μ0为真空磁导率。

图6.12 永磁体等效为恒定磁通并联磁导(磁阻)
6.4.3等效磁势
上述磁通源也可等效变换为磁动势源Fr与一个恒定内磁导Λr相串联的磁动势源:
对于给定性能和尺寸的永磁体,Fr为常数:

Hc为永磁体矫顽力,hMp为每对极磁路中永磁体磁化方向的长度,Λr数值见上。

图6.13 永磁体等效为恒定磁势串连磁导(磁阻)
突破人形机器人控制器性能瓶颈:高效稳定的...
时间:2026-03-05
一文讲懂开关电源的阻尼振荡
时间:2026-03-05
使用过滤器电容器和诱导器来抑制受辐射的EM...
时间:2026-03-05
智能硬件遭遇销量困局 看社区O2O如何破解
时间:2026-03-05
物联网新时代,关于安全的5大错误认知
时间:2026-03-05
智能停车场一体化控制器方案简述
时间:2026-03-05
ZigBee应用于智能家居是否存在严重漏洞?
时间:2026-03-05
推动物联网发展,供电是基础设备的生命线
时间:2026-03-05
楼宇对讲走向标准化 四大发展方向明确
时间:2026-03-05
最帅“黑”科技:让普通手机可扫描3D
时间:2026-03-05
玻璃釉电容器的结构与特点
时间:2026-03-05
表贴电容的分类
时间:2026-03-05
关于STM32WL LSE 添加反馈电阻后无法起振的...
时间:2026-03-05
RI-80F型高压高阻玻璃釉膜电阻分压器
时间:2026-03-05
电阻的标称阻值和允许偏差
时间:2026-03-05
穿芯电容的形式_穿芯电容应用
时间:2026-03-05
电容器运行时温度过高的原因有哪些
时间:2026-03-05
固态电容的作用_固态电容的优点
时间:2026-03-05
电容在交流电路中是怎样工作的?
时间:2026-03-05
高压电容怎么测好坏_如何提高高压电容寿命
时间:2026-03-05