IGBT单胞结构参数:沟道长度4.3μm,沟道宽度2E4μm,多晶硅区半宽度13μm,窗口区半宽度12μm

1、输出IV特性

2、转移特性

3、单胞击穿特性


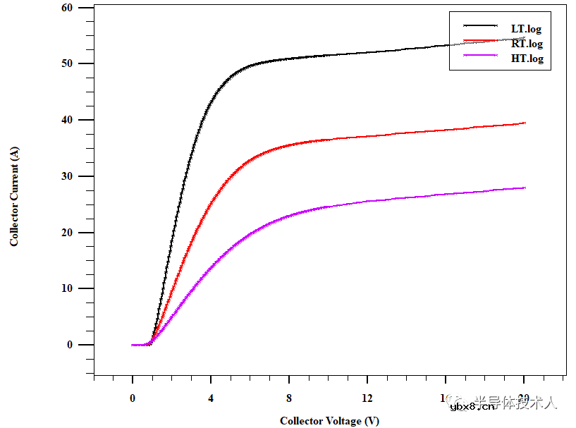
4、输出IV温度特性
LT:220K
RT:300K
HT:400K


IGBT参数设计:
(1) 静态参数设计
击穿电压VCES : 通过终端结构仿真和材料仿真,可以满足项目电压要求并留有100V的余量,击穿电压过大,饱和压降增大。
连续漏极电流 IC : 在相同的技术条件下,Ic主要由芯片面积决定,可以通过仿真设计芯片面积,优化出性价比最高的芯片尺寸。
阈值电压VGEth : 通过优化设计P阱浓度和栅氧化层厚度,可以满足目标要求。
集电极发射极饱和压降VCEsat : 通过场阻断结构,控制背面阳极的杂质浓度,可以满足目标要求。
(2)动态参数设计
上升延迟时间和上升时间: 通过设计栅氧化层厚度和多晶硅面积、P阱杂质浓度调整输入电容,获得最佳的开通时间,同时兼顾静态参数满足要求。上升时间不宜过小,上升时间太小栅极容易引起震荡。
下降延迟时间和下降时间: 关断时间主要取决于体内电荷的少子寿命,通过调整场阻断层的厚度和浓度以及阳极硼注入浓度来获得最佳的关断时间,避免出现严重振荡,平衡好与饱和压降的矛盾。
(3)可靠性参数设计
雪崩耐量UIS : 雪崩耐量是指器件在击穿状态下承受大电流的能力。雪崩耐量设计需要针对不同应用领域单独设计,它会影响静态参数尤其是饱和压降。由于应用环境恶劣,这个参数最好设计高一些。
抗短路时间tSC : 行业通用指标是大于10us。
突破人形机器人控制器性能瓶颈:高效稳定的...
时间:2026-03-05
一文讲懂开关电源的阻尼振荡
时间:2026-03-05
使用过滤器电容器和诱导器来抑制受辐射的EM...
时间:2026-03-05
智能硬件遭遇销量困局 看社区O2O如何破解
时间:2026-03-05
物联网新时代,关于安全的5大错误认知
时间:2026-03-05
智能停车场一体化控制器方案简述
时间:2026-03-05
ZigBee应用于智能家居是否存在严重漏洞?
时间:2026-03-05
推动物联网发展,供电是基础设备的生命线
时间:2026-03-05
楼宇对讲走向标准化 四大发展方向明确
时间:2026-03-05
最帅“黑”科技:让普通手机可扫描3D
时间:2026-03-05
玻璃釉电容器的结构与特点
时间:2026-03-05
表贴电容的分类
时间:2026-03-05
关于STM32WL LSE 添加反馈电阻后无法起振的...
时间:2026-03-05
绝缘电阻表原理_绝缘电阻表的作用
时间:2026-03-05
绝缘电阻用什么来测量_绝缘电阻测量方法
时间:2026-03-05
气敏电阻的型号命名方法是怎样的
时间:2026-03-05
国巨片式电阻缺货涨价之应对方案 你要知道电...
时间:2026-03-05
RI-80F型高压高阻玻璃釉膜电阻分压器
时间:2026-03-05
电阻的标称阻值和允许偏差
时间:2026-03-05
穿芯电容的形式_穿芯电容应用
时间:2026-03-05