时序逻辑电路的特点
在第三章所讨论的组合逻辑电路中,任一时刻的输出信号仅仅取决于该时刻的输入信号,而与电路原来的输出状态无关,这也是组合逻辑电路在逻辑功能上的共同特点。本章将要介绍另一种类型的逻辑电路,其功能特点是任一时刻的输出信号不仅取决于当时的输入信号,而且还取决于电路原来的状态,也即与以前的输入有关,具有这种功能特点的电路叫做时序逻辑电路。
时序逻辑电路简称时序电路,其结构特点是由存储电路和组合电路两部分组成,或通俗地说由触发器和门电路组成,如图5.1.1所示。时序电路的状态是由存储电路来记忆的,因而在时序逻辑电路中,触发器是必不可少的,而组合逻辑电路在有些时序电路中则可以没有。

图5.1.1 时序逻辑电路的结构框图
根据电路状态转换情况的不同,时序电路又分为同步时序逻辑电路和异步时序逻辑电路两大类。在同步时序电路中,所有触发器的时钟输入端CP都连在一起,在外加的时钟脉冲CP作用下,凡是具备翻转条件的触发器在同一时刻改变状态。也就是说,触发器的状态更新与外加时钟脉冲CP的有效触发沿是同步的。而在异步时序逻辑电路中,外加时钟脉冲CP只触发部分触发器,其余触发器则是由电路内部信号触发的,因此,凡具备翻转条件的触发器状态的翻转有先有后,并不都和时钟脉冲CP的有效触发沿相同步。
时序逻辑电路的分析方法
分析一个时序电路,就是要找出给定时序电路的逻辑功能。具体地说,就是要求找出电路的状态和输出状态(一般指进位输出、借位输出等)在输入变量和时钟信号作用下的变化规律。
在同步时序逻辑电路中,由于所有触发器都由同一个时钟信号CP来触发,它只控制触发器的翻转时刻,而对触发器翻转到何种状态并无影响。所以在分析同步时序逻辑电路时,可以不考虑时钟条件。
基本分析步骤:
1. 写出方程式
输出方程:时序逻辑电路的输出表达式。
驱动方程(又称激励方程)根据给定的电路,分别写出各触发器输入端的逻辑表达式。如JK触发器J和K输入端的逻辑表达式,D触发器D输入端的逻辑表达式,它通常为各触发器现态及输入变量的函数。
2. 求出状态方程式
将驱动方程代入相应触发器的特性方程,便可求出该触发器的次态方程,时序逻辑电路的状态方程由各触发器的次态方程组成。
3. 列出状态转换真值表
将电路现态的各种取值代入状态方程和输出方程中进行计算,按列求出各触发器的次态和输出,从而列出状态转换真值表。在没有给出现态的起始值时,一般按二进制自然序从小到大列出所有可能的现态,时序逻辑电路的输出状态,由电路的现态来决定。
4. 画出状态转换图和时序图
状态转换图是指电路由各现态转换到相应次态的示意图。它反映了时序逻辑电路状态转换的规律。电路的时序图是在时钟脉冲CP作用下,各触发器状态变化的波形图,它形象地表达了输入信号、输出信号、电路状态等的取值在时间上的对应关系。
5. 逻辑功能说明
根据状态转换图(当然也可根据状态转换表)来说明电路的逻辑功能。
三、 时序逻辑电路的分析实例
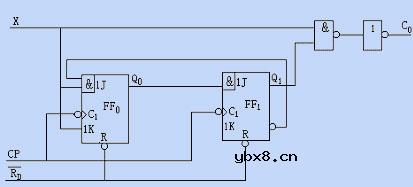
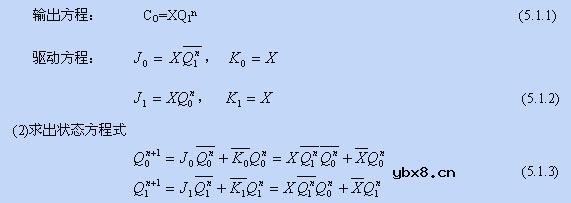
[例5.1.1]试分析图5.1.2所示电路的逻辑功能。

图5.1.2 待分析时序逻辑电路
解:(1)写出方程式

请注意在写状态方程时,变量前后次序一般按输入变量、各触发器现态从高位到低位排列,以便于下一步列写状态转换表。
(3)进行状态计算,列出状态转换表

图5.1.3 状态转换图
(4)画出状态转换图,如图5.1.3所示,其中X、C0用X/C0表示。斜线上方表示输入X的值,下方表示输出C0的值。
状态转换图5.1.3表明,图5.1.2所示电路是一个可控的同步三进制计数器,其中X是控制输入端。当X=0时,计数器停止计数,保持现状态不变;当X=1时,计数器成为三进制递增计数器,计数顺序是

而“11”状态是无效状态,电路若处于“11”状态,则在CP脉冲作用下可以进入有效状态“00”。因此,图5.1.2计数器可以自启动。
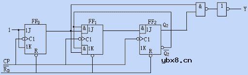
[例5.1.2]试分析图5.1.4所示电路的逻辑功能并画出时序图。

图5.1.4[例5.1.2]待分析时序逻辑电路
解:分析步骤如下:


图5.1.5 [例5.1.2]的状态转换图
可见,其中000、001、010、011、100、101六个状态是有效状态,图5.1.4电路在输入第6个计数脉冲CP后,返回到起始的000状态。同时输出端Y输出一个进位脉冲。而110和111是两个无效状态,若由于干扰或某种原因使电路处于无效状态,最多经过两个CP后能进入有效状态010。因此,图5.1.4所示电路为同步六制递增计数器,具有自启动能力。
(5)画出时序图如图5.1.6所示(据六个有效状态依次画出)

图5.1.6 [例5.1.2]所示电路的时序图
相关热词:#时序
普乐特MAM-SWF自动水位控制保护器直接起动自...
时间:2026-03-07
任丘东方DZ15D型潜水电泵保护器应用电路图
时间:2026-03-07
双华JDB02配电流互感器的应用电路图
时间:2026-03-07
双华JDB02全压起动电路图
时间:2026-03-07
双华JDB92全压起动电路图
时间:2026-03-07
双华JDB92自动星.三角起动电路图
时间:2026-03-07
双华JDB92自耦减压起动电路图
时间:2026-03-07
双华JDB-LQ-TQ-Z二次电流起动电路图
时间:2026-03-07
双华JDB-LQ-TQ全压起动电路图
时间:2026-03-07
双华JDB-LQ-TY二次电流起动电路图
时间:2026-03-07
彩灯电路
时间:2026-03-05
三相异步电动机原理
时间:2026-03-04
三相异步电动机的七种调速方式
时间:2026-03-04
转角测量电路
时间:2026-03-05
经典的正弦波发生电路
时间:2026-03-05
电度表的工作原理
时间:2026-03-04
电风扇红外遥控器2
时间:2026-03-04
电动机单线远程正反转控制电路图
时间:2026-03-04
三相异步电动机的拆装详讲
时间:2026-03-04
USB转232电路图
时间:2026-03-04