真空管的几种基本电路结构
共阴极接地(Common Cathode)电路

是一个真空管最常用的电路,我们称做共阴接地(Common Cathode),其特点是输入阻抗高,输出阻抗也高;有电压增益;输入讯号与输出讯号是反相。
共栅极接地(Common Grid)电路

是一个栅极接地(Common Grid)的电路,其特点是输入阻抗低,输出阻抗高;频率响应特别宽;有电压增益;输入与输出讯号是同相。
屏极接地(Common Plate)的电路

是屏极接地(Common Plate)的电路,其特点是输入阻抗高,输出阻抗低;没有电压增益;输入讯号与输出讯号也是同相。
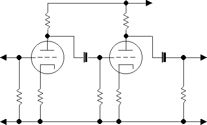
Cascade电路

不管是上述的任何形式,只要两级或两级以上的电路并列,就叫做Cascade电路。
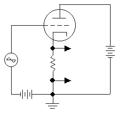
Cascode电路

两级或两极以上的电路串叠,就叫做Cascode电路。Cascode电路的下面一支真空管是共阴接地,而上面一支是共栅接地,由於共栅接地的频率响应较共阴接地宽很多,因此Cascode电路的频率响应就要比一般Cascade的共阴接地电路宽许多,而且还不止差一点点。
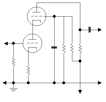
SRPP电路

另一种串叠的电路,所不同之处是SRPP电路的下面一支真空管仍然是共阴接地电路,而上面一支则为共屏接地的电路。
功率级、驱动级、输入级

输出功率级
其实所有的放大器都是功率放大器,只不过由於喇叭是需要很大的功率才能推的动的,因此就需要挑选输出功率特别大的强放管(或称功率管)来担任这个工作,并安排在整个後级扩大机的最後一级,好用来驱动喇叭。
不过有好就有坏,输出功率较大的真空管,由於需要的电压与电流都较高,因此屏极就需要做得特别粗大,而栅极的网孔也要跟著大,才能通过足够的电流,因此强放管的放大率就不可能會很高,尤其是三极管。
像300B的放大因素只有3.85,但是它的输出功率却可达7W左右,而其他束射管或五极强放管的放大率也好不到那里去。
由於强放管的增益比较低,并需要很高的输入电压来驱动,才能达到额定的输出功率,像是我们设计的300B,需要74V的输入电压,才能达到7W的满输出功率,但是一般前级扩大机的额定输出才只有几伏而已,是无法用前级来驱动强放管的,因此就需要再加一支真空管,先将电压放大到能驱动300B的74V,才能让300B能达到7W的输出功率,而此时我们需要的是电压放大率,而不是功率要高,因此这种电压放大率较高的真空管,称为电压放大管。
驱动级
直接驱动强放管的放大电路称为驱动级,驱动级最重要的任务是能输出足够强放级所需的电压摆幅,例如WE300B的偏压为-74时,则驱动级的最大输出电压就需要超过74V以上,才能让WE300B能有足够的输出功率,驱动级除能输出强放级所需的驱动电压之外,最好还要输出阻抗低,这是由於强放管的米勒效应(Miller Effect),也就是级与级之间的电容较高之故!强放管的极间电容愈大,高频响应就愈差,如果驱动强放管的输出阻抗低,米勒效应的影响程度就比较小,尤其是三极强放管的米勒效应比四极或五极管更大,因此驱动级不止是要输出电压的摆幅够大,而且还要输出阻抗低,这在下一节还會提到的,因此我们就要挑选输出阻抗较低的电压放大管来担任。
又强放管的屏内阻都较低,电流也较大,输出阻抗也较低,因此也有人用较小功率的小型强放功率管来做驱动级的,但是这类真空管的放大率通常也较低,又耗电凶,使用与否,端看设计者的观点而异,以300B的驱动而言,我认为还用不到小型强放管。
输入级
通常强放管需要输入的电压都很高,像是我们设计的300B就需要74V的输入电压才够,因此通常光只有一级驱动级的电压放大还是不够的,因为驱动级需要使用输出阻抗较低的真空管,而输出阻抗低的管子通常电压放大率都不高,因此就还需要在驱动级之前,再加上一级电压放大级,才能让驱动级输出足够电电压来驱动强放管,而这安排在後级扩大机放大电路中最前面的一级电压放大级,称为输入级。
选用输入级真空管的条件与驱动级差不多,只不过驱动管的极间电容通常都比强放管小的多,因此前面一级的输出阻抗并不需要太低,但是还是不能太高。
其实不止是强放级与驱动级之间,只要是任何两级之间,都可以用上述的公式估算出频率响应来,因此我们在选用输入级的真空管时,也需要用这个公式来演算一番。
原则上,功率输出级需要的是能输出较高的功率真空管来担任;驱动级需要的是能输出较大电压摆幅的真空管来担任;而输入级则需要的是电压增益较高的真空管来担任。
米勒效应(Miller Effect)

上面提到驱动强放管的电压放大管,除了要输出摆幅要大到74V或以上之外,还要输出阻抗低,这是因为强放管的米勒效应(Miller Effect)比较高之故!也就是极间电容之故!
我们知道真空管的极间电容愈大,高频响应就愈差,强放管的各极之间的距离比较大,因此极间电容比一般小型电压放大管要大得多,如果驱动强放管的输出阻抗低,影响的程度就比较小,而三极强放管的米勒效应比四极或五极管更大,因此驱动级的输出阻抗要更低。
强放管的高频响应除了与强放管本身级与级之间电容有关之外,还与前面驱动级的输出阻抗有关,驱动级的输出阻抗愈低,功率管的米勒效应愈可以忽视,因此驱动级除了要输出摆幅大之外,还要输出阻抗低。
其实任何两级放大之间都有这种关系,并不只是功率级与驱动级,只不过是功率管的极间电容较大,因此驱动级的输出阻抗就变得更为重要了。
我们都可以用前一级的负载电阻,与後一级的极间电容,计算出其概略的-3db高频截止点,其公式为:
fc=1/2πRL{Cin+Cgp(1+A)}
=159/RL{Cin+Cgp(1+A)}
其中:
fc=後一级真空管的-3db高频截止频率,单位是KHz。
RL=前一级真空管的屏极负荷电阻,单位是MΩ。
Cin=後一级真空管的输入电容,也就是栅极到灯丝之间的电容,单位是pf。
Cgp=後一级真空管的栅极到屏极之间的电容,单位是pf
A=後一级真空管的增益。
由上式即可知前一级的屏极负载电阻愈低,後一级的Cgp愈小,增益愈低,高频截止点就愈高,换句话说,高频响应就愈好。
那要如何来选择电压放大级(驱动级)的真空管呢﹖当然是要挑选输出阻抗低的真空管,才能获得较佳的频率响应。
怎麼样的真空管输出阻抗低,又什麼情况之下的输出阻抗低呢﹖
·真空管的屏极电阻(屏内阻)愈低,输出阻抗就愈低。
·屏极负载电阻愈低,输出阻抗愈低。
·电流愈大,输出阻抗愈低。
·在阴极电阻上用一支电容器旁路,输出阻抗就會大幅降低。
下列方法也可以降低输出阻抗,但不符何「张八点」的原则,因此仅供参考用:
·并联真空管,可降低输出阻抗。
·用Cathode Follow电路,可降低输出阻抗。
·用SRPP电路,可降低输出阻抗。
举两个真空管的例子:
我们可用最常见的两种真空管代入上列公式,来看看频率响应:
例如我们已知300B的极间电容:
Cgp=15pf
Cgf(即输入电容Cin)=9pf
Cpf(即输出电容Cout)=4.3pf
假设我们用一支rp较高的真空管12AX7/ECC83来驱动300B,根據规格12AX7/ECC83的rp为62.5KΩ,一般三极管的屏极负载电阻RL大多设定在屏内阻rp的3 ̄7倍之间,我们取其中间值5倍为屏极负载电阻:
62.5KΩ×5=312.5KΩ
代入上式:
fc=159/RL{Cin+Cgp(1+A)}
=159/0.3125{9+15(1+3)}
=7.37KHz
试想,在一个没有负回授的扩大机内,放大电路的频率响应只到7.4KHz,这支真空管可以用吗﹖
又假设我们为求较低的输出阻抗,所以取其最低的屏极负载电阻,即rp的3倍为屏极负载RL,即:
62.5KΩ×3=187.5KΩ代入上式:
fc=159/RL{Cin+Cgp(1+A)}
=159/0.1875{9+15(1+3)}
=12KHz
试想,在一个没有负回授的扩大机内,放大电路的频率响应比输出变压器的频率响应还要窄,这支真空管可以用吗﹖
又假设我们用一支rp较低的真空管来推300B,例如ECC82,根據真空管手册ECC82屏内阻在屏压在250V时,rp=7.7KΩ,如果我们也用7.7KΩ×5=38.5KΩ为RL代入上式:
fc=159/RL{Cin+Cgp(1+A)}
=159/0.0385{9+15(1+3)}
=59.8KHz
这个真空管的频率响应还不错,也由此可知,想要频率响应宽,驱动级就需使用rp较低的真空管。
又假设我们用ECC82屏内阻3倍即7.7KΩ×3=23.1KΩ为RL代入上式:
fc=159/RL{Cin+Cgp(1+A)}
=159/0.0231{9+15(1+3)}
=99.7KHz
可知负载电阻愈低,频率响应宽,但反之负载电阻愈低,失真就愈高,因此我们只能在3~7倍之内选择之。
谈到这里,我们回过头再来谈为什麼我不喜欢并联,依上例如果我们采用300B并联的方式以求较大的输出功率,则300B并联之後其极间电容加大两倍,那高频的频率响应又大幅下降,划得来吗?
固定偏压/自给偏压
我们知道放大电路有自给偏压与固定偏压两种方法。
什麼叫做偏压﹖
在谈及偏压之前我们似有必要先来谈谈真空管的供电方式。一支三极放大管至少需要三组电源:
1.灯丝电源:交流或直流均可,我们称为「A电源」。
2.屏极电源:必需是直流,我们称为「B电源」。
3.栅极电源:也必需是直流,我们称为「C电源」。
其中C电源是负的,因此也称为「C负压」或「栅负压」。
最早期的真空管A、B、C电源是用电池来提供的,後来才改用变压器整流来提供。
我们先来看看真空管的电流是怎麼走的。
请看图六,图中并未绘出灯丝的电源。我们可由图六中见到屏极的电源是由B电池提供,屏极电压是正的,经过屏极负载电阻RL到屏极;而栅极的电源是由C电池所提供,电压是负的。
真空管的阴极发射电子,被正电的屏极所吸,屏极的电流经由屏极负载电阻RL、B电池、回到阴极。
屏极的电流大小决定於栅极上的电压,栅极负压值愈低(电压愈正),屏极电流愈大;反之,栅极负压愈高,屏极电流愈小。我们可由原厂的FIG 3与图四特性曲线中看出这种关系。
图六的偏压是固定偏压的方式,我们只要在阴极上加接一支电阻就成为自给偏压电路。
请看图七的自给偏压电路,我们看到自给偏压电路的栅极并未供给任何电压,因此对地之间也是没有电压的,但是自给偏压电路的阴极对地之间却有一个正电压,因此同为对地的栅极与阴极而言,栅极较阴极为负,其负压值就是阴极上的电压值。由於栅极上不必提供另外一个负压,因此称为自给偏压电路。
自给偏压的优点:
一、自给偏压值會自动调整,因为自给偏压是在真空管的阴极上加上一个阴极电阻Rk而产生,會随著屏压的高低而自动调整。当市电电压升高时,屏极电压与阴极电压同时提高,因此具有自动调整工作点的功能,并可以防止电流因电压提高而过荷,有保护真空管的功能,工作也比较稳定。
二、自给偏压电路只要加一支阴极电阻就行了,使用的零件少,音染也少。
三、换管子时不必再调整偏压。
自给偏压的缺点:
自给偏压的最大缺点是需要提供较高的B+电源。
因为所谓的屏极电压Ep是屏极到阴极间的电压值,因此B+的电压要加上阴极上的电压值。例如我们需要供给350V的300B屏极电压时,则B+就要加上阴极上的74V电压值,即350V+74V=424V;但固定偏压的阴极是直接接地的,只要供给350V的B+电压就够了,因此自给偏压方式的电源利用率低。
固定偏压优点:
一、固定偏压电路提供的屏极电压较低,电源的利用率高。
二、固定偏压大多都设计成可调式,因此可以任意调整负压值,可根據不同的真空管来调出最佳的工作点。
固定偏压的缺点:
一、固定偏压需要一组独立的电源,因此在电源变压器需要另绕一组栅负压专用的线圈,并且还要再用一组整流电路与滤波电路,使得电路复杂化,需要增加许多零件。
二、负压值与屏极电压值相差很大,当市电变动时,负压值跟不上屏压的上升,而使的负压值过浅,而遭至屏流过荷,工作较不稳定。
高位水箱蓄水自动控制电路
时间:2026-03-05
简易电极式水位自动控制电路
时间:2026-03-05
简易水塔上水控制电路
时间:2026-03-05
简易水位控制
时间:2026-03-05
节水控制电路
时间:2026-03-05
金属控头水位控制器
时间:2026-03-05
全自动电热水控制电路
时间:2026-03-05
全自动供水控制电路
时间:2026-03-05
三级水位指示电路
时间:2026-03-05
三相接触电路
时间:2026-03-05
瞬间抑制二极管(TVS)/瞬间抑制二极管(TVS)是...
时间:2026-03-04
什么是霍尔传感器
时间:2026-03-05
半导体材料的主要种类有哪些?
时间:2026-03-04
数字比较器,数字比较器是什么意思
时间:2026-03-04
常用整流二极管型号大全
时间:2026-03-04
S/HS固态继电器原理简介
时间:2026-03-04
稳压二极管的选用和代换
时间:2026-03-04
TVS器件的电特性有哪些
时间:2026-03-04
TVS二极管的分类/应用,TVS二极管的特点/选用...
时间:2026-03-04
快恢复二极管,快恢复二极管是什么意思
时间:2026-03-04