半导体二极管是一种非线性器件,它对直流和交流(或者说动态量)呈现出不同的等效电阻。二极管的直流电阻是其工作在伏安特性上某一点时的端电压与其电流之比。

图(a)电路(b)二极管伏安特性和工作点Q(c)二极管的直流电阻
在直流电源V的作用下,对应于二极管电流ID和二极管两端电压UD的点称为静态工作点,该点对应的直流电阻为

动态电阻是在一个固定的直流电压和电流(即静态工作点Q)的基础上,由交流信号ui引起特性曲线在Q点附近的一小段电压和电流的变化产生的。若该交流信号ui是低频,而且幅度很小(通常称低频小信号),则由此引起的电流变化量也很小,这一小段特性曲线可以用通过Q点的切线来等效。

图(a)电路(b)二极管伏安特性(c)二极管的动态电阻
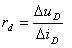
若在Q点的基础上外加微小的低频信号,二极管两端产生的电压变化量和电流变化量如图(b)中所标注,则此时的二极管可等效成一个动态电阻rd,根据二极管的电流方程可得

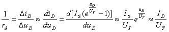
rd是用以Q点为切点的切线斜率的倒数。显然,Q点在伏安特性上的位置不同,rd的数值将不同。根据二极管的电流方程

可得:

因此

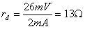
ID为静态电流,常温下UT=26mV。可知,静态电流ID越大,rd将越小。设UD=0.7V时,ID=2mA。由此可得直流电阻RD=350,而动态电阻(交流电阻)

可见二者相差甚远,切不可混淆。
根据上面的解释,应该很容易理解用普通万用表的电阻档对二极管进行测量时,所测到的电阻值应该表示二极管的直流电阻而非动态电阻。
同时,用普通万用表的欧姆档去测量二极管的正向电阻时,由于表的内阻不同,使测量时流过管子的电流大小不同,也就是工作点的位置不同,故测得的RD值也不同。
5v太阳能路灯电路图大全(四款5v太阳能路灯...
时间:2026-03-07
双向可控硅调光电路图大全(四款模拟电路设...
时间:2026-03-07
太阳能路灯电路设计与仿真
时间:2026-03-07
30w太阳能路灯设计方案汇总(六款太阳能路灯...
时间:2026-03-07
ne555调光电路图大全(五款模拟电路设计原理...
时间:2026-03-07
60w太阳能路灯设计方案汇总(四款模拟电路设...
时间:2026-03-07
220v双向可控硅电路图大全(八款模拟电路设...
时间:2026-03-07
单向可控硅光控电路图大全(四款模拟电路设...
时间:2026-03-07
可控硅调压器电路图大全(八款模拟电路设计...
时间:2026-03-07
单向可控硅最筒单电路图大全(四款模拟电路...
时间:2026-03-07
玻璃釉电容器的结构与特点
时间:2026-03-05
电容器入门教程
时间:2026-03-05
关于STM32WL LSE 添加反馈电阻后无法起振的...
时间:2026-03-05
暑期买元器件下单立减还送华为P30pro
时间:2026-03-05
电阻的标称阻值和允许偏差
时间:2026-03-05
使用过滤器电容器和诱导器来抑制受辐射的EM...
时间:2026-03-05
LED固晶机龙头直面“寒冬”
时间:2026-03-05
浅谈高压贴片电容分类与性能参数
时间:2026-03-05
聚四氟乙烯电容器的结构与特点
时间:2026-03-05
漆膜电容器的结构与特点
时间:2026-03-05