当前位置:首页 > 电工问答 > 正文

双平衡模拟乘法器的基本原理

来源:网络  发布者:电工基础  发布时间:2026-03-05 06:11
双平衡模拟乘法器的基本原理 基本原理 双平衡式四象限乘法电路如图1(a)所示,该电路由两个并联工作的差分式电路T1、T2和T3、T4及T5、T6构成的压控电流源电路组成。图1(b)为模拟乘法器符号。

双平衡模拟乘法器的基本原理

基本原理

双平衡式四象限乘法电路如图1(a)所示,该电路由两个并联工作的差分式电路T1、T2和T3、T4及T5、T6构成的压控电流源电路组成。图1(b)为模拟乘法器符号。

双平衡模拟乘法器的基本原理

双平衡模拟乘法器的基本原理

双平衡模拟乘法器的基本原理

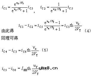
由式(1)和式(2) 同理可得

双平衡模拟乘法器的基本原理

在图中假定正向的条件下,输出电压vO为

式中 输入电压vX、vY均可为正值或负值,故是一种四象限模拟乘法器。它的缺点是当输入信号较大时,会带来严重的非线性影响。