在本文中,我们将讨论正向和反向偏置PN二极管。我们还推导了方程并求解了一个数值示例。首先,让我们看一下反向偏置的pn二极管。
图1显示了具有反向偏置的PN二极管,即电池的负极连接到二极管的P侧,正极端子连接到N侧。随着连接的极性,P区中的空穴和N区的电子远离结点,耗尽区的宽度增加。势垒的高度随量 V 增加。这种增加的势垒高度有助于减少多数载流子流向另一侧,即从P侧到N侧的空穴和从N侧到P侧的电子。然而,少数载流子的流动仍然不受势垒高度增加的影响,因为这些少数载流子会落在势能势垒下。因此,从N侧到P侧的净小反向电流流过由少数载流子携带的二极管。这个小电流是二极管反向饱和电流,其大小用 I 表示 0 .

反饱和电流 I0由下属给出,

其中 A 是器件的横截面积
D P (D n )是空穴(电子)的扩散常数,
L P (L n )是空穴(电子)的扩散长度
N D (N 一个 )是供体(受体)杂质密度和n我是空穴和电子的固有浓度。
内在浓度 n我由以下等式给出

等式(2)也可以表示为:

其中 V去电压(以伏特为单位)在数值上等于禁止的间隙能量 E去以 eV 和 V 为单位T是温度的伏特当量。
I 的值0取决于 P 和 N 区域的特性以及工作温度。在室温(300 K)下,I0对于Ge二极管,通常约为1 nA,对于硅二极管。这种反向饱和电流 I0与反向偏置的大小无关,但随着温度 T 的升高而增加。
图2显示了具有正向偏置V的PN二极管,即电压源V的正极端子连接到P侧,负极端子连接到N侧。在这种正向偏置下,P区中的空穴和N区中的电子更靠近结点。耗尽区的宽度减小,势垒电位降低到(V 0 -V)。这种降低的势垒电位导致从P侧到N侧的多数载流子空穴通过结的流动增加,以及从N侧到P侧的多数载流子电子的增加。穿过结点的这两个电流分量加起来形成从 P 侧到 N 侧(即正向)穿过结点的常规电流,由下式给出,


然而,由于少数群体的携带者跌落了障碍物,因此少数携带者的流动不会因障碍潜力的降低而改变。因此,反向电流不受影响,等于反向饱和电流I0由等式(1)给出。因此,净正向电流由下式给出,

公式(5)是半导体二极管方程式,适用于施加电压V的正值和负值,即正向偏置和反向偏置。对于反向偏置,V 为负值,远大于 VT (

等式(5)忽略了载流子生成和重组的影响。这种省略对 Ge 器件有效,但对 Si
器件无效。因此,PN二极管中电流I的更一般表达式是,

其中

公式(5)显示,正向电流呈指数增长,结两端的正向电压V可用。
对于较大的前向偏置,V 等于 V 0 ,势垒变为零,超过二极管额定电流的非常大的电流往往会流动。然而,在实际操作中,电流会受到二极管的体积电阻和欧姆触点电阻的限制。因此,只有一小部分施加的正向偏置V出现在PN结上,电流主要由该总器件电阻控制。由于该总器件电阻是恒定的,因此伏安特性几乎是一条直线。
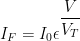
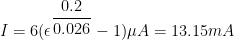
例1:在Ge二极管中,反向饱和电流I0是 .计算 0.2、0.3 和 0.4 伏正向电压在 300 K 室温下的正向电流。
溶液:



在 V = 0.2 伏时,

在 V = 0.3 伏时,

在 V = 0.4 伏时,

教程问题
在 Ge 二极管中,反饱和电流为

[答: ,


无线遥控器电路图制作
时间:2026-03-07
无线电遥控门铃电路原理图
时间:2026-03-07
NE555过流保护检测器电路图
时间:2026-03-07
串联谐振升压原理
时间:2026-03-07
谐振回路的工作原理
时间:2026-03-07
电容降压电路原理
时间:2026-03-07
实用的电容降压电路
时间:2026-03-07
低成本的阻容降压电路原理图分析
时间:2026-03-07
阻容降压原理及电路
时间:2026-03-07
阻容降压电路的误区
时间:2026-03-07
玻璃釉电容器的结构与特点
时间:2026-03-05
电容器入门教程
时间:2026-03-05
关于STM32WL LSE 添加反馈电阻后无法起振的...
时间:2026-03-05
暑期买元器件下单立减还送华为P30pro
时间:2026-03-05
电阻的标称阻值和允许偏差
时间:2026-03-05
使用过滤器电容器和诱导器来抑制受辐射的EM...
时间:2026-03-05
LED固晶机龙头直面“寒冬”
时间:2026-03-05
浅谈高压贴片电容分类与性能参数
时间:2026-03-05
聚四氟乙烯电容器的结构与特点
时间:2026-03-05
漆膜电容器的结构与特点
时间:2026-03-05