当前位置:首页 > 电子元件 > 正文

电阻器在电路中的作用

来源:网络  发布者:电工基础  发布时间:2026-03-05 06:15
电阻器在电路中用作分压器、分流器和负载电阻;它与电容器—起可以组成滤波器及延时电路、在电源电路或控制电路中用作取样电阻;在半导体管电路中用偏置电阻确定工作点;用电阻进行电路的阻抗匹配;用电阻进行降压或限

电阻器在电路中用作分压器、分流器和负载电阻;它与电容器—起可以组成滤波器及延时电路、在电源电路控制电路中用作取样电阻;在半导体管电路中用偏置电阻确定工作点;用电阻进行电路的阻抗匹配;用电阻进行降压或限流;在电源电路中作为去耦电阻使用,等等。总之,电阻器在电路中的作用很多,电路无处不用电阻:下面介绍一些电阻器的基本电路。

1. 分压电路
分压电路实际上是电阻的串联电路,如图2-1所示,它有以下几个特点:

①通过各电阻的电流是同一电流,即各电阻中的电流相等、I = I1 = I2 = I3;
②总电压等于各电阻上的电压降之和,,即V= V1 + V2 + V3;
③总电阻等于各电阻之和,即R=R1 + R2 +R3:

在实践中可利用电阻串联电路来进行分压以改变输出电压,如收音机和扩音机的音量调节电路、半导体管工作点的偏置电路及降压电路等。

电阻器在电路中的作用

 

2. 分流电路
分流电路实际上是电阻器的并联电路,如图2-2所示。它有以下几点特点:

①各支路的电压等于总电压;
②总电流等于各支路电流之和,即I = I1 + I2 + I3;
③总电阻的倒数等于各支路倒数之和,即1/R =1/R1 + 1/R2 + 1/R3

在实践中经常利用电阻器的并联电路组成分流电路,以对电路中的电流进行分配;

图2-3是用于扩大电流表量程的分流电路。

电阻器在电路中的作用

 

电流表的满度电流为50uA.现需将它改成一个最大量程为500uA的电流表,此时只需要在电流表两端并上一只电阻器R1即可。
根据图2-3(b)并联电路可知
I= I1 +I0

若I = 500uA,则

I1 =I - I0 = 500-50 =450uA

由于I0 * R0 =I1* R1(式中R0为电流表内阻)
求得

R1= (I0* R0)/I1= 200Ω

上述的分流电路计算结果表明,只要在50uA表头上并联一个200Ω的电阻,即可使表头的量程由50uA扩大到500uA。

3. 阻抗匹配电路

图2-4所是由电阻器组成的阻抗匹配衰减器、它接在特性阻抗不同的两个网络中间,可以起到匹配阻抗的作用。

匹配器中电阻器的阻什可由下式确定,即

电阻器在电路中的作用

 
式中,Z1和Z2为网络1和网络2的阻抗,它们分别为300Ω和75Ω。将它们代入上面两个公式中,则求得RI=259.8Ω,R2=86.6Ω。

电阻器在电路中的作用

 

4. RC充放电电路

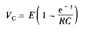
RC充放电电路是电阻器应用的基础电路,在电子电路中会常常见到,因此了解RC充放电特性是非常有用的。

RC充放电电路如图2-5所示。图中开关S原来停留在B点位置,电容器C上没有电荷,它两端的电压等于零。当开关接到A点时.电源E通过R向电容器C充电,在电路接通的瞬间,电容器电压Vc=0,充电电流最大值等于Z/R。随着电容器两极上电荷的积累,Vc逐渐增大,电阻器R上的电压Vr =E -Vc,充电电流i=(E—Vc)/R且随着Vc的增大而越来越小,Vc的上升也越来越慢。当Vc=E时,i=0,充电过程结束。

试验证明,充电过程可用下面公式描述,即

电阻器在电路中的作用

 

电阻器在电路中的作用

 

式中:e-自然对数;t-时间。

从公式中不难看出,充电过程中Vc和i是按指数规律变化的。而充电的快慢取决于电阻和电容的乘积,因此称RC为时间常数r,即r=RC。如果R和C的的单位取欧姆和法拉,则r的单位为秒。

根据公式计算在不同时间内的Vc和i,其结果见表2-4。从表中可以看出,r越大充电越慢。当t=3r时,Vc=0.95E;当t=5r时,Vc=0.993E;一般认为当 t=(3-5)r时,电容器上的电荷已被充满。
电容器上的电荷已被充满。

电阻器在电路中的作用

 
当电路开关S在C充满电荷后由A端置于B端时,电容C上的电荷通过R放电,其放电也是按指数规律进行的。

利用RC充放电特性可组成很多应用电路,如积分电路、微分电路、去耦电路以及定时电路等。

相关热词:#[db:标签]

最新文章
高位水箱蓄水自动控制电路高位水箱蓄水自动控制电路

时间:2026-03-05

简易电极式水位自动控制电路简易电极式水位自动控制电路

时间:2026-03-05

简易水塔上水控制电路简易水塔上水控制电路

时间:2026-03-05

简易水位控制简易水位控制

时间:2026-03-05

节水控制电路节水控制电路

时间:2026-03-05

金属控头水位控制器金属控头水位控制器

时间:2026-03-05

全自动电热水控制电路全自动电热水控制电路

时间:2026-03-05

全自动供水控制电路全自动供水控制电路

时间:2026-03-05

三级水位指示电路三级水位指示电路

时间:2026-03-05

三相接触电路三相接触电路

时间:2026-03-05