为了对放大电路的工作有一个较全面的认识.不仅应对三极管的工作原理和输入、输出特性要有所了解.还应该学会用图解法分析放大电路的工作点。
图解法就是用作图的方法.在三极管的特性曲线上确定放大电路的工作点。这里的工作点是指放大电路中的电流和电压值在管子的特性曲线上所对应的点。三极管放大电路的分析方法除图解法外.还有等效电路分析法Q 由于图解分析法比较直观,可以给人以清楚的物理概念.所以它是分析电子电路的一种重要方法.也是常用的方法。
图15-9 是一个单管交流电压放大电路,现以它为例介绍图解法的步骤。

1.无信号输入时,放大电路的工作情况
( 1)确定放大电路的静态工作点。
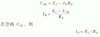
根据放大电路的输入直流回路和欧姆定律,下式成立:

故图15-9 所示电路的基极电流IB =40μA 。
由于静态时的Ie 和VeE 的值在其输出特性曲线上表现为一个点的坐标,又由于此时IB =40μA ,所以放大电路的静态工作点必定在IB =40μA 的那条输出特性曲线上。为进一步确定输出回路的静态工作点.还应绘出直流负载线。
(2) 建立直流负载线
根据放大电路的输出直流回路和欧姆定律,下式成立,即

根据上式,就可以在三极管的输出特性曲线上作图,绘出直流负载线,从而确定放大电路的静态工作点。
设UCE= 0 ,则

由Q 点作水平线与纵轴的交点,即为放大电路的静态工作电流ICQ, 从图中可以看出,lCQ =1.8mA. 从Q 点作垂线与横轴的交点,即为静态工作电压UCEQ。从图中可以看出,UCEQ =8.4 V 。直线AB叫做直流负载线.它表示当EC和RC确定后,工作点的变化规律只能沿此条线滑动。
2. 放大电路动态工作情况
放大电路的动态工作情况是指放大电路有信号输入时的工作状况。在输入信号的控制下,放大电路中的基极电压、基极电流、集电极电压和集电极电流都要作相应的变化。下面用图解法来分析它们各自的变化范围。
(1)基极电压和基极电流的变化范围
假设输入信号V in = 10sinωt (mV) 。借助3DG4管子的输入特性曲线[见图15-10(a)],根据IB =40μA 可以查出,对应的静态电压UBE =0. 7V 。由于输入的信号电压按正弦规律变化,而且最大值为10mV ,所以,当它的极性与C1上的电压极性一致时,UBE 的最大值为0.71V;当它的极性C1上的电压极性相反时,UBE 的最小值为0.69V。基极的电压变化范围为0.69 ~ 0.71V 。

同样还可查得,当UBE = 0.71 V 时,对应的lB = 60μA ,即输入特性曲线的Qi'点。当UBE = 0.69V 时,对应的lB = 20μA ,即输入特性曲线上的Qi"点。可见IB 的变化范围为20~60μA。
(2) 集电极电流和集电极电压的变化范围
己知基极电流的变化范围为20 - 60μA ,那么就可以借助输出特性曲线确定,当基极电流变化时,静态、工作点Q 将沿直流负载线AS 上移到Q' 和下移到Q" ,即动态变化在Q' - Q"之间。由于Q' 和Q"点对应的集电极电流分别为0.9mA 和2.7mA ,可见集电极的电流变化范围应为0.9-2.7mA。Q' 和Q"点对应的集电极电压分别为6.6V和10.2V,即集电极的电压的变化范围为6.6 ~ 10.2V 。这样集电极电流和电压的变化量分别为1 .8mA 和3.6V。根据输入信号Uin的变化规律,可相应描绘出输出电压与输出电流的波形,如图15-10 所示。

式中的负号说明输出电压和输入电压的相位差为180°。在放大电路中,如果只要求放大倍数,则可不考虑相位关系。
(3) 功率放大倍数
①输入电流与输出电流是同相位的,而输出电压与输入电压是反相位的。
②放大电路具有电流、电压及功率放大作用。
③工作点Q 选在放大区内AB负载线的中点,才会保证放大电路没有失真,输出波形才可以完整地反映输入信号的变化.而且动态变化范围也最大。在EC及RC已确定的条件下,通过调整RB的大小.就可以改变IB的大小,从而可使放大电路有合适的工作点Q 。
无线遥控器电路图制作
时间:2026-03-07
无线电遥控门铃电路原理图
时间:2026-03-07
NE555过流保护检测器电路图
时间:2026-03-07
串联谐振升压原理
时间:2026-03-07
谐振回路的工作原理
时间:2026-03-07
电容降压电路原理
时间:2026-03-07
实用的电容降压电路
时间:2026-03-07
低成本的阻容降压电路原理图分析
时间:2026-03-07
阻容降压原理及电路
时间:2026-03-07
阻容降压电路的误区
时间:2026-03-07
玻璃釉电容器的结构与特点
时间:2026-03-05
电容器入门教程
时间:2026-03-05
关于STM32WL LSE 添加反馈电阻后无法起振的...
时间:2026-03-05
暑期买元器件下单立减还送华为P30pro
时间:2026-03-05
电阻的标称阻值和允许偏差
时间:2026-03-05
使用过滤器电容器和诱导器来抑制受辐射的EM...
时间:2026-03-05
LED固晶机龙头直面“寒冬”
时间:2026-03-05
浅谈高压贴片电容分类与性能参数
时间:2026-03-05
聚四氟乙烯电容器的结构与特点
时间:2026-03-05
漆膜电容器的结构与特点
时间:2026-03-05