系统环境配置
使用的软件名称和版本型号如下所示,软件界面图如图1-1所示:
软件名称:Multisim
软件版本:14.0.0
图1-1软件界面图
2、仿真实际电路
图1-2是要进行仿真的电路,三极管的基极电源采用5V直流,三极管的集电极电源采用12V直流。

3、综合分析电路
如何判断三极管电路是处于放大状态还是饱和状态(开关)?
三极管处于放大状态,书本所教的是:发射结正向偏置,集电结反向偏置;
三极管处于饱和状态,书本所教的是:发射结正向偏置,集电结正向偏置;
其中补充理论:
发射结指的是三极管基极指向发射极存在一个等效二极管;
集电结指的是三极管基极指向集电极存在一个等效二极管;
可以参照第一期内容中晶体管知识,如图1-3所示:

图1-3 晶体管的PN结
第一步:分析三极管电路的基极电位和基极电流

图1-3 仿真电路
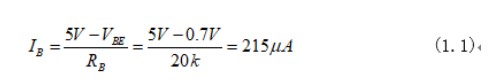
图1-3所示,基极电阻Rb为20kΩ,基极电源为5V,三极管导通阈值电压Vbe=0.7V,那么基极电流Ib可以求得:

所以基极电流Ib=215uA,基极电位Vb=0.7V。
第二步:假设三极管状态为饱和状态
假设三极管直流增益参数hfe=100,那么三极管处于饱和状态时,直流增益不起作用,且放大倍数不会有100倍,这里假设只有50倍,所以集电极电流为:

那么集电极电位可以求得:

根据上述基极电位Vb=0.7V,集电极电位Vc=10.925V,发射极电位Ve=0V,可以求得发射结电位和集电结电位:
发射结电位:

集电结电位:

实际求得发射结正向偏置,集电结反向偏置,所以三极管处于饱和状态假设不成立。
第三步:假设三极管状态为放大状态
假设三极管直流增益参数hfe=100,那么三极管处于放大状态时,直流增益有100倍,所以集电极电流为:

那么集电极电位可以求得:

根据上述基极电位Vb=0.7V,集电极电位Vc=9.85V,发射极电位Ve=0V,可以求得发射结电位和集电结电位:
发射结电位:

集电结电位:

实际求得发射结正向偏置,集电结正向偏置,所以三极管处于放大假设成立。
4、实际中怎么直接判断三级挂状态
由第三步可以看出,这个步骤虽然结论正确,但是计算过于复杂,在实际中不会这么精确的判断,这里在实际中总结一种粗略的判断方法:如果基极电流有1mA,那么三极管作开关管,否则就是放大管。

图1-4 仿真电路
如图1-4所示,求得三极管基极电流为:

所以三极管作放大管!
审核编辑:刘清
冷门知识:三极管也有特殊用法
时间:2026-03-07
晶体三极管放大电路的非线形失真及其解决办...
时间:2026-03-07
从一种新的切入角度来看三极管工作原理
时间:2026-03-07
三极管常见分类简介
时间:2026-03-07
你真的很懂三极管吗?
时间:2026-03-07
一文读懂三极管的符号、分类及如何判断极性
时间:2026-03-07
授人以鱼不如授人以渔,这些三极管放大电路...
时间:2026-03-07
放大电路的三种组态的识别与比较,放大电路...
时间:2026-03-07
三极管工作原理介绍,NPN和PNP型三极管的原...
时间:2026-03-07
8050开关继电器电路图,8050三极管开关电路...
时间:2026-03-07
玻璃釉电容器的结构与特点
时间:2026-03-05
电容器入门教程
时间:2026-03-05
关于STM32WL LSE 添加反馈电阻后无法起振的...
时间:2026-03-05
暑期买元器件下单立减还送华为P30pro
时间:2026-03-05
电阻的标称阻值和允许偏差
时间:2026-03-05
使用过滤器电容器和诱导器来抑制受辐射的EM...
时间:2026-03-05
LED固晶机龙头直面“寒冬”
时间:2026-03-05
浅谈高压贴片电容分类与性能参数
时间:2026-03-05
聚四氟乙烯电容器的结构与特点
时间:2026-03-05
漆膜电容器的结构与特点
时间:2026-03-05