NTC负温度系数热敏电阻专业术语
零功率电阻值 RT(Ω)
RT指在规定温度 T 时,采用引起电阻值变化相对于总的测量误差来说可以忽略不计的测量功率测得的电阻值。
电阻值和温度变化的关系式为:
RT = RN expB(1/T – 1/TN)
RT :在温度 T ( K )时的 NTC 热敏电阻阻值。
RN :在额定温度 TN ( K )时的 NTC 热敏电阻阻值。
T :规定温度( K )。
B : NTC 热敏电阻的材料常数,又叫热敏指数。
exp :以自然数 e 为底的指数( e = 2.71828 …)。
该关系式是经验公式,只在额定温度 TN 或额定电阻阻值 RN 的有限范围内才具有一定的精确度,因为材料常数 B 本身也是温度 T 的函数。
额定零功率电阻值 R25 (Ω)
根据国标规定,额定零功率电阻值是 NTC 热敏电阻在基准温度 25 ℃ 时测得的电阻值 R25,这个电阻值就是 NTC 热敏电阻的标称电阻值。通常所说 NTC 热敏电阻多少阻值,亦指该值。
材料常数(热敏指数) B 值( K )
B 值被定义为:

RT1 :温度 T1 ( K )时的零功率电阻值。
RT2 :温度 T2 ( K )时的零功率电阻值。
T1, T2 :两个被指定的温度( K )。
对于常用的 NTC 热敏电阻, B 值范围一般在 2000K ~ 6000K 之间。
零功率电阻温度系数(αT )
在规定温度下, NTC 热敏电阻零动功率电阻值的相对变化与引起该变化的温度变化值之比值。

αT :温度 T ( K )时的零功率电阻温度系数。
RT :温度 T ( K )时的零功率电阻值。
T :温度( T )。
B :材料常数。
耗散系数(δ)
在规定环境温度下, NTC 热敏电阻耗散系数是电阻中耗散的功率变化与电阻体相应的温度变化之比值。

δ: NTC 热敏电阻耗散系数,( mW/ K )。
△ P : NTC 热敏电阻消耗的功率( mW )。
△ T : NTC 热敏电阻消耗功率△ P 时,电阻体相应的温度变化( K )。
热时间常数(τ)
在零功率条件下,当温度突变时,热敏电阻的温度变化了始未两个温度差的 63.2% 时所需的时间,热时间常数与 NTC 热敏电阻的热容量成正比,与其耗散系数成反比。

τ:热时间常数( S )。
C: NTC 热敏电阻的热容量。
δ: NTC 热敏电阻的耗散系数。
额定功率Pn
在规定的技术条件下,热敏电阻器长期连续工作所允许消耗的功率。在此功率下,电阻体自身温度不超过其最高工作温度。
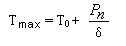
最高工作温度Tmax
在规定的技术条件下,热敏电阻器能长期连续工作所允许的最高温度。即:

T0-环境温度。
测量功率Pm
热敏电阻在规定的环境温度下, 阻体受测量电流加热引起的阻值变化相对于总的测量误差来说可以忽略不计时所消耗的功率。
一般要求阻值变化大于0.1%,则这时的测量功率Pm为:

电阻温度特性
NTC热敏电阻的温度特性可用下式近似表示:

式中:
RT:温度T时零功率电阻值。
A:与热敏电阻器材料物理特性及几何尺寸有关的系数。
B:B值。
T:温度(k)。
更精确的表达式为:
式中:RT:热敏电阻器在温度T时的零功率电阻值。
T:为绝对温度值,K;
A、B、C、D:为特定的常数。
相关热词:#[db:标签]
为什么需要MOSFET栅极电阻?MOSFET栅极电阻...
时间:2026-03-05
NTC/PTC/CTR热敏电阻是什么?热敏电阻的使用...
时间:2026-03-05
解析单电阻采样的原理以及注意点
时间:2026-03-05
共源极放大器的设计方法
时间:2026-03-05
关于STM32WL LSE 添加反馈电阻后无法起振的...
时间:2026-03-05
如何直观地判断两级放大器的零点位置呢?
时间:2026-03-05
时序分析基本概念介绍<wire load model&...
时间:2026-03-05
电子元器件解析—电阻
时间:2026-03-05
3PEAK高压零漂放大器契合精密应用
时间:2026-03-05
助力绿色5G数字式电流和功率监测芯片-TPA62...
时间:2026-03-05
电阻的标称阻值和允许偏差
时间:2026-03-05
零欧电阻的功能
时间:2026-03-05
PPTC热敏电阻在电池中的应用
时间:2026-03-05
水泥电阻规格及型号
时间:2026-03-05
气敏电阻的型号命名方法是怎样的
时间:2026-03-05
国巨片式电阻缺货涨价之应对方案 你要知道电...
时间:2026-03-05
RI-80F型高压高阻玻璃釉膜电阻分压器
时间:2026-03-05
电阻器的分类
时间:2026-03-05
电阻的额定功率
时间:2026-03-05
电阻的高频特性
时间:2026-03-05