当前位置:首页 > 电子元件 > 正文

场效应管的分类 基本共源放大电路的组成及工作原理

来源:网络  发布者:电工基础  发布时间:2026-03-12 09:19

场效应管的分类(我们这里只讲MOS):

场效应管的分类 基本共源放大电路的组成及工作原理

场效应管分类

场效应管的分类 基本共源放大电路的组成及工作原理

MOS管分类

MOS管电路符号:

场效应管的分类 基本共源放大电路的组成及工作原理

 

场效应管的分类 基本共源放大电路的组成及工作原理

 

场效应管的分类 基本共源放大电路的组成及工作原理

 

场效应管的分类 基本共源放大电路的组成及工作原理

I-V特性曲线和特性方程:

N沟道耗尽型:

场效应管的分类 基本共源放大电路的组成及工作原理

N沟道耗尽型

场效应管的分类 基本共源放大电路的组成及工作原理

N沟道耗尽型特性方程

N沟道增强型:

场效应管的分类 基本共源放大电路的组成及工作原理

N沟道增强型

场效应管的分类 基本共源放大电路的组成及工作原理

N沟道增强型特性方程

P沟道耗尽型:

场效应管的分类 基本共源放大电路的组成及工作原理

P沟道耗尽型

场效应管的分类 基本共源放大电路的组成及工作原理

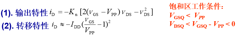
P沟道耗尽型特性方程

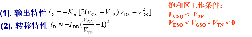
P沟道增强型:

场效应管的分类 基本共源放大电路的组成及工作原理

P沟道增强型

场效应管的分类 基本共源放大电路的组成及工作原理

P沟道增强型特性曲线

基本共源放大电路的组成:

场效应管的分类 基本共源放大电路的组成及工作原理

 

场效应管的分类 基本共源放大电路的组成及工作原理

基本共源放大电路的工作原理

场效应管的分类 基本共源放大电路的组成及工作原理

静态工作点估算:

场效应管的分类 基本共源放大电路的组成及工作原理

下面看一个例题

场效应管的分类 基本共源放大电路的组成及工作原理

信号模型分析法(重点):

由于三极管是非线性器件,这样就使得放大电路的分析非常困难。 建立小信号模型,就是将 非线性器件做线性化处理, 从而简化放大电路的分析和设计。

建立小信号模型的思路:

当放大电路的输入信号电压很小时,就可以把三极管 小范围内的特性曲线近似地用直线来代替 ,从而可以把三极管这个非线性器件所组成的电路当作线性电路来处理。

MOSFET的小信号模型:

场效应管的分类 基本共源放大电路的组成及工作原理

 

场效应管的分类 基本共源放大电路的组成及工作原理

用小信号模型分析共源放大电路的步骤:

场效应管的分类 基本共源放大电路的组成及工作原理

再看一个例题:

场效应管的分类 基本共源放大电路的组成及工作原理

 

场效应管的分类 基本共源放大电路的组成及工作原理

三种组态放大电路:

场效应管的分类 基本共源放大电路的组成及工作原理

三种组态动态性能比较:

场效应管的分类 基本共源放大电路的组成及工作原理

最新文章
集成电路的分类集成电路的分类

时间:2026-03-12

集成电路型号命名方法集成电路型号命名方法

时间:2026-03-12

集成电路引脚的识别集成电路引脚的识别

时间:2026-03-12

集成电路引脚的判别方法集成电路引脚的判别方法

时间:2026-03-12

集成电路的检测及故障查寻集成电路的检测及故障查寻

时间:2026-03-12

拆除集成电路的方法拆除集成电路的方法

时间:2026-03-12

三端集成稳压器的电路结构及主要特性参数三端集成稳压器的电路结构及主要特性参数

时间:2026-03-12

三端固定正稳压器三端固定正稳压器

时间:2026-03-12

使用三端集成稳压器时应注意的事项使用三端集成稳压器时应注意的事项

时间:2026-03-12

稳压器应用参考电路稳压器应用参考电路

时间:2026-03-12