在模拟集成电路设计中,正确地分析等效输入阻抗可以大大降低电路的复杂程度。
其中正确分析MOS等效输入阻抗是最常用、最重要的一部分,熟练掌握结论后可以直接应用于复杂电路的分析。
1.MOS线性区等效电阻
当VDS>0时,MOS的沟道将产生从D指向S的横向电位梯度以及电流,并且随着VDS增大而增大。
ID与VDS呈线性变化,MOS相当于一个线性电阻。MOS在不同的VGS,其等效电阻也不同。

NMOS线性区
线性区MOS等效电阻由下式给出:

2.MOS源极视入阻抗
源极视入阻抗顾名思义即从MOS源极看进去的等效电阻。考虑带负载电阻的情况,分析MOS源极视入阻抗的等效模型由下图所示:

MOS源极视入阻抗等效模型
根据基尔霍夫电压定律:

化简后得到MOS源极视入阻抗:

当没有负载电阻时,MOS源极视入阻抗变为:

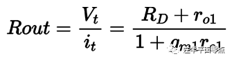
3.MOS漏极视入阻抗
利用与MOS源极视入阻抗相似的分析方式,先假设M1的等效电阻为ro1,画出下图的等效模型:

MOS漏极视入阻抗等效模型
根据基尔霍夫电压定律:

化简后得到MOS漏极视入阻抗:

当没有M1时,MOS漏极视入阻抗就是ro2。也就是说,一个MOS从漏极看进去的等效电阻就是与沟道长度调制效应有关的输出电阻。这正好验证了M1等效电阻为ro1的假设是成立的。
熟练掌握以上结论之后可以试着找一些较复杂的电路,先试着能否直接看出某一结点的视入阻抗,再用等效电路的方法验证直接看出来的视入阻抗是否正确。
集成电路的分类
时间:2026-03-12
集成电路型号命名方法
时间:2026-03-12
集成电路引脚的识别
时间:2026-03-12
集成电路引脚的判别方法
时间:2026-03-12
集成电路的检测及故障查寻
时间:2026-03-12
拆除集成电路的方法
时间:2026-03-12
三端集成稳压器的电路结构及主要特性参数
时间:2026-03-12
三端固定正稳压器
时间:2026-03-12
使用三端集成稳压器时应注意的事项
时间:2026-03-12
稳压器应用参考电路
时间:2026-03-12
玻璃釉电容器的结构与特点
时间:2026-03-05
电阻的标称阻值和允许偏差
时间:2026-03-05
压敏电阻有正负极吗
时间:2026-03-05
变压器并列运行的条件浅析
时间:2026-03-06
电容器入门教程
时间:2026-03-05
关于STM32WL LSE 添加反馈电阻后无法起振的...
时间:2026-03-05
可调电阻怎么接线
时间:2026-03-05
压敏电阻坏了怎么替代
时间:2026-03-05
压敏电阻爆裂的原因分析
时间:2026-03-05
暑期买元器件下单立减还送华为P30pro
时间:2026-03-05