什么是数据通信的传输损耗
损耗是指在传输过程中因传输介质等因素引起的能力损失。
无线信道空间传输损耗
超高频和微波波段信号的空间传播,会对信号带来多种传输损伤、很大衰减和多径衰落。
1.直线传播损伤
● 衰减和失真;
● 自由空间损耗;
● 噪声;
● 大气吸收;
● 多径和折射。
2.衰减因素
双绞线、电缆到光纤、波导等传输媒体,都是导向媒体,而在自由空间长距离的电磁波传播,属于非导向媒体传输;因此衰减是较为复杂的距离函数,并在地球周围受到充满大气层的影响。传播衰减主要影响因素是:传播频段f,传播距离L,电磁波速率C(近于光速)。
自由空间传播损耗
1. 微波段信号远程传播如卫星到地面约36000km。信号波束随传播距离而发散。上行链路的发射信号功率,由大功率速调管可达上千瓦,而卫星转发器只能靠太阳能供电,由于卫星表面积受限,因此下行链路发射功率很难达到上百瓦。因此地球站接收信号功率不过微瓦级,并且还包含了收、发天线增益几十个dB的补偿效果。
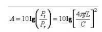
2. 空间传播损耗(dB)

多径传播和多径衰落
1.多径传播
天线辐射的信号以三种方式传播:地波、天波和空间波(后者即称谓的直线波);
● 当电磁波遇有比其波长要大的障碍物时,则发生反射;
● 并在该物体边界进行衍射(绕射);
● 若障碍物尺寸不大于电磁波长,会发生散射,即散射成几路弱信号———多径衰落。
2.多径传播后果
● 多径到达的信号,由于相位不同,强弱相差很大,若无序混迭、相位抵消,就使接收信号难以检测与恢复质量良好的信息;
● 产生严重的码间干拢(ISI);
● 特别是在较高速度的移动台天线发出的信号,运动方向、障碍物环境较快变化,多径信号中主路径不稳定等因素导致的接收信号更难处理。
3.衰落类型
● 慢衰落(平坦衰落—flat fading);
● 快衰落(fast fading);
● 选择性衰落(Selective fading)。
4.衰落信道的3种类型
● 高斯信道———是最简单的信道模型,同时它更符合于通信恒参传输媒体。本书各种传输系统,均是基于高斯信道进行性能分析。
● 瑞利衰落信道———多径衰落导致多条均很弱的路径信号,而不存在一条主路径。
● 赖斯衰落信道———是较瑞利衰落利于处理的情况,它具有明显的主路径和多个较弱的间接路径。
5.多径衰落环境下的信号接收
● 选用适当的分集技术与合并处理
● 自适应均衡
● 前向纠错编码
● 高性能传输技术———如TCM,复合编码,OFDM等
电波在自由空间传播的损耗公式为:
Lbs(dB) = 32.45 + 20lgf(MHz) + 20lgd(km)
式中,Lbs为自由空间的路径传播损耗,它与收发天线增益Gr、Gt无关,仅与传输路径有关。如果将其他参数保持不变,仅使工作频率f(或传输距离d)提高一倍,则其自由空间的路径损耗就增加6dB。
对于WLAN,工作在2.4GHz,在自由空间中传播损耗为(f = 2400MHz):
Lbs = 100 + 20lgd(km)
Lbs = 100 + 20lgd(km)
距离(m) 1 5 20 30 40 50 80 100
损耗(dB) 40 54 66 70 72 74 78 80
而实际中,电波还要受到诸如地面的吸收、反射、障碍物的阻挡等影响。在室内的障碍物通常为墙壁、隔断、地板等。障碍物对电波的阻挡效果与障碍物的结构有关,木质结构的损耗为5dB,钢筋混凝土结构的损耗为25dB。
以型号FH-AP2400的无线接入节点设备和FH-325的无线PCMCIA网卡为例,分析AP在室内覆盖范围的大小。
为分析简单起见,只考虑空间传播和障碍物(墙壁、隔断、地板)阻挡对电波的损耗。下表列出了电波通过不同的障碍物后FH-AP2400(ISP)的有效覆盖距离。

上表的数据是根据AP工作在11Mbps时的灵敏度计算得到的。当AP工作在更低的速率(5.5/2/1Mbps)时,有效覆盖距离还可以更大。
相关热词:#电子电路图
半导体有关概念 PN结的单向导电性 半导体的...
时间:2026-03-05
什么是差分放大电路?差分放大电路的作用有...
时间:2026-03-05
交流电路的分析计算方法
时间:2026-03-05
多业务广域网解决方案
时间:2026-03-05
无线网络新技术_无线MESH网络是什么
时间:2026-03-05
简单无线mesh网络搭建
时间:2026-03-05
无线mesh网络特点
时间:2026-03-05
无线接入方式有哪些
时间:2026-03-05
无线接入器是什么
时间:2026-03-05
无线中继器安装操作步骤
时间:2026-03-05
瞬间抑制二极管(TVS)/瞬间抑制二极管(TVS)是...
时间:2026-03-04
什么是霍尔传感器
时间:2026-03-05
半导体材料的主要种类有哪些?
时间:2026-03-04
高级封装,高级封装是什么意思
时间:2026-03-04
数字比较器,数字比较器是什么意思
时间:2026-03-04
常用整流二极管型号大全
时间:2026-03-04
S/HS固态继电器原理简介
时间:2026-03-04
稳压二极管的选用和代换
时间:2026-03-04
TVS器件的电特性有哪些
时间:2026-03-04
TVS二极管的分类/应用,TVS二极管的特点/选用...
时间:2026-03-04