18.1
有损传输线建模
造成传输线中信号衰减的两种损耗过程是信号路径和返回路径导线的串联电阻,以及有损介质材料的并联电阻,这些电阻器都与频率有关。
注意,随着频率的变化,理想电阻器的阻值是个常数。前面已说明过,在理想有损传输线中,用于表示损耗的这两种电阻要比简单的理想电阻器复杂得多。由于趋肤效应的影响,串联电阻随频率的平方根增长,由于材料的耗散因子和偶极子旋转的影响,并联电阻随频率的升高而降低。
前面讲过理想分布传输线,它的特征是特性阻抗和时延,模型将传输线的特征分布在整个线长上。理想的有损分布传输线模型在无损模型中增加了两个损耗过程:随频率平方根增长的串联电阻和随频率降低的并联电阻。这是新的理想有损传输线的基础,许多仿真器中都用到了这一点。除了特性阻抗和时延,两个已经给出过定义的参数是耗散因子及下述的单位长度电阻:

其中,R_L表示导线单位长度电阻,R_DC表示单位长度直流电阻,R_AC表示与√f成正比的单位长度电阻系数。
为了进一步领悟理想有损线的性能,我们从传输线可以近似为n节LC电路出发,通过添加损耗项来评价电路模型的性能。
理想的分布式无损传输线可近似为由并联电容和串联电感集总电路模型节构成的等效电路模型。然而,这个理想无损模型的一个最大不足就是它仍为无损模型。对这个一阶等效电路模型加以修正,就能用于表征损耗。在每一节中,加入串联电阻和并联电阻的影响。一个理想有损传输线的n节集总电路近似模型的每一小节包含4项:C表示电容,L表示回路自电感,R_series表示导线的串联电阻,R_shunt表示介质损耗并联电阻。
如果将传输线长度加倍,那么总电容C、总电感L和总串联电阻R_series都加倍,而总并联电阻R_shunt减半。因为线长加倍时,交流漏电流流过的面积加大,所以并联电阻降低。
正是由于这个原因,通常使用介质漏电导而不是漏电阻来表征。电导用字母G表示,其定义为G=1/R,下面给出电导的定义:

如果传输线长度加倍,则并联电阻减半而电导加倍。我们仍将损耗模型化为电阻值随频率升高而降低的电阻器,只是改用参数G加以表示。用漏电导代替漏电阻,使得表示有损传输线的4项都与线长成正比。这4项称为传输线的线参数(通常是指单位长度的值):R_L表示导线单位长度串联电阻;C_L表示单位长度电容;L_L表示单位长度串联回路电感;G_L表示由介质引起的单位长度并联电导。
我们用这个理想的二阶n节集总电路模型去近似理想有损传输线,这也是对真实传输线的近似。下图为一个等效的n节RLGC传输线模型示例。所用的节数取决于线长和模型的带宽,最小的节数仍约为 10×BW×T_D 。

将R和G这两项加入模型中时,理想有损传输线的性能与理想无损传输线有了一些差别,微分方程求解也相当复杂。在频域中求解时,不再假设C_L,L_L,R_L和G_L如何随频率化。在每一频率点上,它们可能改变,也可能是常数。最后得出如下3个重要特征:
1.特性阻抗Z_0与频率有关,并且是个复数;
2.正弦波信号的速度v与频率有关;
3.引入了一个新参数α_n以表示正弦波沿线传播时其幅度的衰减,这一衰减与频率有关。
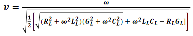
特性阻抗、速度和单位长度衰减的值如下所示:



其中,Z_0表示特性阻抗,v表示信号速度,α_n表示单位长度幅度的衰减(单位为neper/长度,即奈培/长度),ω表示正弦波角频率(单位为rad/s),R_L表示导线单位长度串联电阻,C_L表示单位长度电容,L_L表示单位长度串联回路电感,G_L表示由介质引起的单位长度并联电导。
为了简化这些代数式,通常所建近似模型中的传输线是有损耗的,但损耗不太大,称为低损耗近似条件,即串联电阻 R_L≪ωL_L ,并联电导 G_L≪ωC_L 。
低损耗近似条件假设:与回路串联电感阻抗相比,导线串联电阻的阻抗很小。同理,与流经信号路径和返回路径之间的电容的旁路电流相比,流经介质漏电阻的旁路电流很小。当频率约高于10MHz时,1盎司铜线的串联电阻随频率的平方根增加,ωL_L随频率线性增加。从某一频率起,这一近似条件已经很好地满足了,频率越高,效果越好。
电导大致随频率线性增加,电容大致保持为常数。当G_L≪ωC_L即tan(δ)≪1时,电路工作在低损耗区。实际上,所有互连材料的耗散因子都小于0.02,所以互连总是工作在低损耗区。
用宽为3mil或更宽的走线线条作为互连的电路板,其低损耗区是指频率在2MHz以上的区域,此区域包含了最重要的频率分量。
18.2
有损传输线的特性阻抗
下图即为用FR4中3mil宽的50Ω微带线的复特性阻抗的幅值,其中包括导线损耗和介质损耗。图中可以看出,当频率高于10MHz时,复特性阻抗与无损耗特性阻抗的值非常接近。如果走线再宽一些,将损耗降低一些,则转折频率将会更低一些。

如前所述,由于趋肤效应的影响,电感可能与频率有些关系。频率约高于100MHz时,集肤深度比导线的几何厚度薄得多,在该频率点之上电感为常数。此外,由于介电常数的实部随着频率变化,从而使电容也可能与频率有点关系。这些因素可能使特性阻抗与频率稍微相关。但是在实际互连中,这些效应的影响通常不太明显。
18.3
有损传输线中的信号速度
在低损耗区,电阻性阻抗远小于电感性阻抗,且耗散因子远小于0.1,从而速度可以近似为:

该结果恰与无损传输线中的信号速度一样。低损耗区,信号速度不受损耗影响。
根据前面速度的准确表达式,可以看出速度在什么时候保持恒定,它从哪一点开始随频率变化。速度与频率相关的效应称为色散,这里是由损耗引起的。下图给出了FR4板上50Ω微带线在最差的情况,即线宽为3mil时,微带线中的信号速度与频率之间的关系,其中包括介质损耗和导线损耗。

损耗的影响就是它使低频率分量速度降低的程度要比将高频率分量速度降低的程度大。低频率时,串联电阻的阻抗要比回路电感的自感阻抗占优势,所以线的损耗相比要大一些,信号速度也就降低了。速度随频率变化的现象称为 色散 。它由两种机理引起:与频率相关的介电常数和线损耗。
色散使高频分量比低频分量传播速度快。相应地,在时域中,快速上升沿先到达,接着是慢速上升尾巴,这使上升边明显变长。但是,如果确实是由于损耗造成了上升边的退化,那么其中直接由衰减造成的影响通常要比色散的影响大得多。
色散也可能是由反射引起的。当信号由于反射而往返反弹时,一些信号可能会与信号的延迟部分重叠。这将导致信号在某些频率上的异常相移,也将表现为信号在时延和速度上的微小变化。有时,我们称其为异常相移或 异常色散 。
18.4
衰减与dB
当信号沿导线传播时,导线损耗对信号的主要影响就是使信号幅度衰减。如果幅度为V_in的正弦波信号在传输线中传播,则信号幅度将随着传输距离的增加而降低。如果能够让时间凝固,以观察线上存在的正弦波,则各个不同点的波形如下图所示。其中,正弦波频率为1GHz,FR4板上有线宽为10mil,长40in的50Ω微带线。

幅度并不是线性下降的,而是随着距离的变化呈指数下降。这可以用基为e或10的指数加以表示。以e为基时,输出信号为:

其中,V_(d)表示线上位置d点的电压,d表示线上点的位置(单位为in),V_in表示输入电压幅度,A_n表示总衰减(单位为neper,有时用n表示),α_n表示单位长度衰减(单位为neper/in)。
例如,若衰减为1neper,则最终输出幅度为输入幅度的 exp(-1)=37% ;衰减为2neper,则输出幅度为输入幅度的 exp(-2)=13% 。
同理,如果给定输入和输出幅度,则衰减可以由下式得到:

关于衰减的符号有些不明确。在所有的无源互连中,不存在任何增益,输出电压总是小于输入电压。若指数项为0,则输出幅度恰与输入幅度相等。指数符号为负是得到缩小幅度的唯一途径。那么,负号是直接放在指数中还是放在衰减量的前面?这两种方法都可以。有时称衰减为-2neper或2neper,因为它总是被称为衰减,也就不存在含糊不清了。
通常,衰减被认为是一个大于零的正数。根据这一观点,负号就不是衰减项的一部分,而指数项的一部分。
用10作为基表示衰减比用e作为基更常用些,称为分贝(dB),这种形式的输出幅度为:

其中,V(d)表示线上位置d点的电压,d表示沿线位置(单位为in),V_in表示输入电压幅度,A_dB表示总衰减(单位为dB),α_dB表示单位长度衰减(单位为dB/in),20表示将dB转换成幅度的系数。
在几乎所有工程应用中,总是用Bel去度量两个功率P1和P0之比的对数Bel=log(P1/P0)。 **1 Bel=10deciBel,** 若比值用dB表示,则为

例如,功率增加1000倍,Bel增加 log(1000)=3Bel ,dB增加 10×3Bel=30 dB 。若输出功率仅为输入功率的1%,则功率降低 log(10^−2)=−2Bel ,或 10×(-2)Bel=-20dB 。功率以任意比例系数改变时,可以用dB表示其中的变化。若功率加倍,则分贝值的变化为 **10×log(2)=10×0.3=3dB** 。通常所用的“3dB变化”指功率加倍。如果功率变为下降了50%,则分贝值的变化 **10×log(0.5)=-3 dB** 。实际的功率比值可以由分贝值得到,即:

关于分贝值刻度,需要记住如下3个重要规则:
1.分贝值刻度经常指的是两个功率或能量比值的对数。
2.以10为基,用分贝值度量两个功率的比值时,指数项为分贝值/10。
3.当从分贝转换到实际的功率之比时,记住要先除以10。
如果度量的是其他两个量的比值,则一定要注意它们与功率的区别。例如,当测得两个电压V0和V1时,其比值是r=log(V1/V0),r的单位是无量纲的。但是,不能用dB去直接度量这个比值。因为dB指的是两个功率或能量的比值。电压不是能量,它仅是幅度。我们可以理解成与电压相关的两个功率之比, rm =10×log(P1/P0) 。那么,怎样将功率与电压相关联呢?电压波中的能量与电压幅度的平方成正比, P~V^2 。用dB表示的电压的比值,与用dB表示的相应功率的比值等同,即

计算dB值时,若指的是功率或能量,则系数为10;若指的是幅度,则系数为20。这里的信号幅度即为电压、电流或阻抗。
由dB可以计算出电压的比值,即

下图列出了一些电压及与电压相对应功率的比值和用dB表示的比值。

18.5
有损线上的衰减
正弦波沿传输线传播时,电压幅度呈指数递减,以dB度量的总衰减将随着线长度的增加而线性增加。FR4板中,1GHz信号的典型衰减可能是0.1dB/in。若传播1in,衰减为0.1dB,则信号幅度降低到

传播10in,衰减为1dB,则信号幅度降低到89%。
如果随着频率的变化,导线的单位长度串联电阻和由介质引起的单位长度并联电导都是常量,则传输线的衰减当频率变化时也是常量。所有频率感受到的损耗量都是相同的。
单位长度损耗由两部分组成,一部分是由导线串联损耗引起的衰减,另一部分衰减与介质材料并联损耗有关。
衰减总是与几何结构无关,这不是近似,而是基于引起并联电导的几何参数同时又反向作用于特性阻抗这个事实。例如,假设线宽增加,则电容将增加,因此电导增加,但是特性阻抗降低了,衰减结果仍一样。
这里给出一个非常有价值的经验法则:FR4型叠层的介质损耗约为0.1 dB/in/GHz。它与导线的阻抗或任何几何特征无关,只与材料性质有关。这一简单的经验法则允许快速评估一个通道的预期损耗。但是,它只包括介质损耗。在窄线的情况下,导线的损耗也可能造成等量的损耗。这样,典型的通道衰减约为0.1~0.2 dB/in/GHz。
在1GHz时,介质引起的衰减一般比导线引起的稍微大一些。当频率更高时,介质引起衰减增加的速度要比导线引起衰减增加的速度更快。这表明1GHz时,如果介质损耗处于主导地位,更高频率时它就会更重要,而导线损耗则变为次重要。
随着频率的升高,介质引起衰减增加的速度要比导线引起衰减增加的速度更快,那么会存在某一频率,使得在这一频率之上时介质引起的衰减处于主导地位。下图所示为对于FR4板上8mil宽的50Ω走线的单位长度衰减,导线衰减、介质衰减与总衰减的比较结果。对于线宽大于8mil的50Ω走线,介质损耗与导线损耗相等时的转折频率小于1GHz;频率高于1GHz时,介质损耗处于主导地位。如果线宽小于8mil,则转折频率高于1GHz。

连续脉冲发生器电路图
时间:2026-03-05
正弦波发生器原理图
时间:2026-03-05
话筒用单音猝发电路
时间:2026-03-05
静噪电路图
时间:2026-03-05
开路转播机的引入控制电路
时间:2026-03-05
控制单音发生器电路
时间:2026-03-05
六路单管电路图
时间:2026-03-05
选取单音波群电路
时间:2026-03-05
选取单音发生器电路
时间:2026-03-05
亚声频单音编码器电路
时间:2026-03-05
关于STM32WL LSE 添加反馈电阻后无法起振的...
时间:2026-03-05
电阻的标称阻值和允许偏差
时间:2026-03-05
合金电阻与贴片电阻有什么区别?你知道合金...
时间:2026-03-05
3PEAK高压零漂放大器契合精密应用
时间:2026-03-05
零欧电阻的功能
时间:2026-03-05
PPTC热敏电阻在电池中的应用
时间:2026-03-05
水泥电阻规格及型号
时间:2026-03-05
气敏电阻的型号命名方法是怎样的
时间:2026-03-05
国巨片式电阻缺货涨价之应对方案 你要知道电...
时间:2026-03-05
RI-80F型高压高阻玻璃釉膜电阻分压器
时间:2026-03-05