陶瓷电容器非常适合管理纹波电流,因为它们可以滤除开关模式电源产生的大电流。通常并联使用不同尺寸和值的陶瓷电容器以达到最佳效果。在这种情况下,每个电容器应满足其允许的纹波电流额定值。
在这篇文章中,我将以降压转换器为例来演示如何选择陶瓷电容器以满足纹波电流要求。(请注意,铝电解电容器或钽电容器等大容量电容器具有较高的等效串联电阻(ESR)。当与陶瓷电容器并联时,这些大容量电容器的设计不能承受较大的纹波电流。因此,我不会在这里讨论它们。
图1所示为降压转换器的基本电路。转换器输入电流,iIN_D,由大纹波电流 Δi 组成IN_D.

图1:降压转换器的基本电路
降压转换器参数为:
输入电压(V在) = 12V。
允许输入纹波电压(ΔV在) 《 0.36V。
输出电压(V或) = 1.2V。
输出电流(I或) = 12A。
电感峰峰值纹波电流 (ΔIpp) = 3.625A。
开关频率(F西 南部) = 600KHz。
陶瓷电容器的温升极限《10°C。
图2显示了输入纹波电流波形。

图 2:输入纹波电流波形
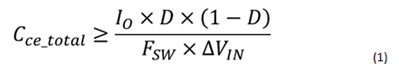
为了满足纹波电压要求,陶瓷电容器的有效电容应大于公式1计算的电容:

配合转换器参数和要求,Cce_total应大于 5μF。
所选的陶瓷电容器还必须满足纹波电流限制。公式2计算纹波电流的均方根(RMS)值:

鉴于我或= 12A,ΔIpp = 3.625A 和 D = 10%,输入纹波的RMS值为3.615A有效值。
表1列出了具有适当额定电压的可用陶瓷电容器的特性。这些电容器的容差为10%。

表 1:电容器特性
虽然一块电容器A提供足够的有效电容来满足纹波电压要求,但其纹波电流额定值为3.24A有效值略小于转换器产生的值。虽然增加另一块电容器A可以满足要求,但它比其他较小的电容器占用更多的空间和成本。问题是应该添加哪种电容器或电容器。为了回答这个问题,我对纹波电流分布进行了分析。图3是两个电容与交流电流源并联的简化原理图。

图3:纹波电流分布示意图
根据欧姆定律,电流分布应遵循公式3:

陶瓷电容器具有小的ESR。图 4 显示了两个示例。

图4:陶瓷电容器阻抗 |Z|和 ESR R 频率变化
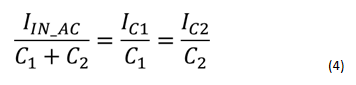
对于低于1MHz的频率,您可以近似于陶瓷电容器的阻抗XC,由 XC=
1/(jωC)。因此,公式3简化为公式4。根据公式4,纹波电流与有效电容成正比:

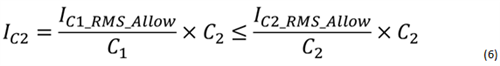
当多个电容器并联时,允许纹波电流与有效电容比最低的电容器,I有效值-over-C,将首先达到纹波电流额定值。假设 C1 具有较低的
I有效值-超过C2,公式5估计总允许纹波电流,I∑_RMS_Allow:

当C1达到其允许纹波电流额定值时,通过C2的纹波电流不会超过其允许纹波电流,如公式6所示:

为了拥有我∑_RMS_Allow≥ IIN_AC_RMS,附加电容应大于公式7计算的电容:

托尔。是这些陶瓷电容器的电容容差。当计算中包括容差时,瓶颈电容器的最差情况下纹波电流不会超过其额定值。
我列出了 I有效值--C比作为表2中的参数。

表 2:电容器特性
电容器A在12VDC偏见。为了满足纹波电流要求,应添加一个或多个额外的电容器以满足纹波电流要求。由于电容器 A 具有最低的
I有效值-C比,增加的有效电容,C附加,应大于用公式 8 计算得出的数值:

有两种选择。第一种选择是添加一块电容器B。第二种选择是添加一块电容器C和两块电容器D。两种选择都提供足够的额外有效电容,并占用类似的印刷电路板(PCB)区域。由于后一种选择更具成本效益,因此我选择了第二种选择。
为了验证我的假设,我进行了PSPICE模拟;图5显示了我使用的电路。我还在典型情况下使用了电容器的标称值。

图5 纹波电流分布模拟电路
图6显示了电容纹波电流的仿真波形和RMS值,即:


图 6:各陶瓷电容器的仿真纹波电流波形
然后,我使用了电容值,这些值会使电容A(瓶颈电容)出现最坏情况。
电容器纹波电流的RMS值为:

每个电容器都符合其允许的纹波电流额定值。
一文讲懂开关电源的阻尼振荡
时间:2026-03-05
使用过滤器电容器和诱导器来抑制受辐射的EM...
时间:2026-03-05
智能硬件遭遇销量困局 看社区O2O如何破解
时间:2026-03-05
物联网新时代,关于安全的5大错误认知
时间:2026-03-05
智能停车场一体化控制器方案简述
时间:2026-03-05
ZigBee应用于智能家居是否存在严重漏洞?
时间:2026-03-05
推动物联网发展,供电是基础设备的生命线
时间:2026-03-05
楼宇对讲走向标准化 四大发展方向明确
时间:2026-03-05
最帅“黑”科技:让普通手机可扫描3D
时间:2026-03-05
未来的智能住宅是什么样的?
时间:2026-03-05
玻璃釉电容器的结构与特点
时间:2026-03-05
表贴电容的分类
时间:2026-03-05
关于STM32WL LSE 添加反馈电阻后无法起振的...
时间:2026-03-05
RI-80F型高压高阻玻璃釉膜电阻分压器
时间:2026-03-05
电阻的标称阻值和允许偏差
时间:2026-03-05
电容在交流电路中是怎样工作的?
时间:2026-03-05
高压电容怎么测好坏_如何提高高压电容寿命
时间:2026-03-05
电容屏也有区别?自电容屏和互电容屏有什么...
时间:2026-03-05
一文读懂,电容器的工作旅程
时间:2026-03-05
如何绕制电感与选择磁芯减小寄生电容
时间:2026-03-05