这里介绍两种常用的PWM调节器,型号分别为UC3825A和SG3525,它们的内部工作原理基本相同,包括内部供电、OSC、PWM调节、软启动、保护等单元。下面分别介绍UC3825A和SG3525内部工作原理与建模。


⑴ Oscillator



振荡器实际是利用对电容充放电实现脉冲输出,Figure1中,PIN5内部为一个电流源。通过改变RT电阻值从而改变电容充电电流的大小。
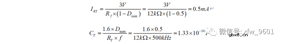
结合图Figure2,假设振荡器需要工作为500kHz,RT取值为12kΩ,最大占空比D=0.5。参数计算方法如式(1)所示。



振荡器与前沿消隐输出波形如图1所示。

图1 振荡器和前沿消隐仿真波形
Figure1原理图的仿真模型如图2所示。


图2 Figure1仿真模型
这些智能家电安全知识 你值得了解
时间:2026-03-05
物联网安全如何从机器学习中受益?
时间:2026-03-05
物联网10大无线短距离通信语言及技术
时间:2026-03-05
智能家居系统设计原则
时间:2026-03-05
5步教你如何远离物联网安全的威胁
时间:2026-03-05
5步远离物联网威胁
时间:2026-03-05
云计算风行 盘点云服务四大核心技术
时间:2026-03-05
如何在养殖中应用物联网技术?
时间:2026-03-05
智能家居设计安装方案简析:智能照明扮演重...
时间:2026-03-05
ZigBee、GPRS在充电桩中的应用
时间:2026-03-05
玻璃釉电容器的结构与特点
时间:2026-03-05
表贴电容的分类
时间:2026-03-05
关于STM32WL LSE 添加反馈电阻后无法起振的...
时间:2026-03-05
RI-80F型高压高阻玻璃釉膜电阻分压器
时间:2026-03-05
电阻的标称阻值和允许偏差
时间:2026-03-05
电容在交流电路中是怎样工作的?
时间:2026-03-05
高压电容怎么测好坏_如何提高高压电容寿命
时间:2026-03-05
电容屏也有区别?自电容屏和互电容屏有什么...
时间:2026-03-05
一文读懂,电容器的工作旅程
时间:2026-03-05
如何绕制电感与选择磁芯减小寄生电容
时间:2026-03-05