基本π网络是模拟放大器的基础,大部分放大器或者类放大器电路都有基本π网络的身影,新的放大器结构也是对基本π网络延伸和改良。所以学好基本π网络是非常重要的,深刻理解基本π网络后,阅读更复杂的放大器的文献就不是问题了。
基本π网络结构
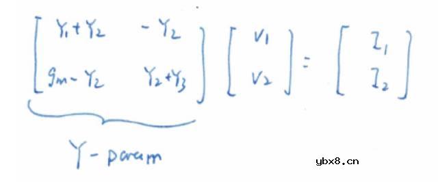
基本π网络通过在互易π 网络一侧添加一个压控电流源(VCCS)形成一个非互易网络。我们对这个π网络做节点分析(大家可以顺便想一下节点分析和Y参数的关系):

大家看,在等式右侧的受控电流移到等式左边之前,Y矩阵还是对称的(互易)。

受控电流源移动到左侧之后,正式的Y矩阵就不再对称了(网络不再互易)。换句话说,VCCS打破了这个电路的互易性。

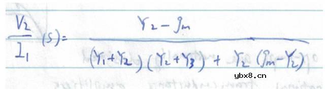
我们假设端口2是开路。然后可以解出这个二端口网络的一个最常用的传输函数,即跨阻。
强行解矩阵谁都会,用克莱姆法则,我们可以算出V 2 /I 1 :

这个表达式是高熵的,对设计不友好的。
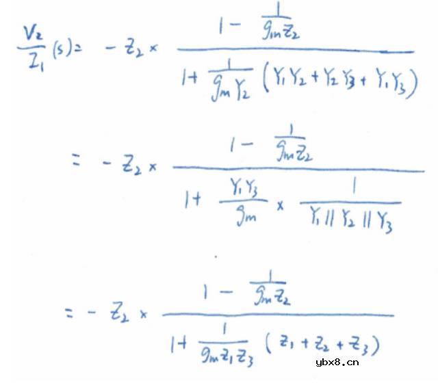
Prof. Abidi教育我们,要把传输函数写成规整的、对设计友好的形式,这样才不会成为划水的电路设计师:

这三种公式都是低熵的,因为他们遵循了一个基本型:

这个基本型是Prof. Abidi 原引Prof. Middlebrook 的广义反馈定理(General Feedback Theorem),以后有机会我可以专门讲Middlebrook的双重抵消注入(Null Double Injection)和广义反馈定理。这里先简单介绍一下上面的这个基本型。
H ∞ 是理想闭环增益,它可以有单位,当有单位时,“增益”这个词不再准确,但是大家心里明白就行。
T是回路增益,它不可以有单位。T与这个网络反馈的能力相关。
Tn是Null 回路增益,它也不可以有单位。Tn与这个网络的前馈的能力相关。
想要达到理想闭环增益,T和Tn都必须远大于1才行。
用基本π网络分析实际电路
基本π网络在很多地方都有应用:
例1:电阻负载跨导放大器(OTA)

用基本型分析电路,算出增益为:

大家看,-R 2 /R1是我们通常会假设一个理想运放接反馈电阻会有的增益。但是,要想用OTA达到同样的理想增益,我们需要

然后重写增益函数的分母,我们可以得到:

所以还要:

这里A是理想增益幅度R 2 /R1
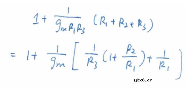
满足了这三点,我们才能有理想的增益。这说明,如果源阻抗比较小,那gm就会要很大,导致更高的功耗。满足了第二点,第一点一般都可以满足,因为需要增益的话R2一般比R1要大。但是第三点要求我们的负载阻抗不能太小,因为它要除以一个增益乘以gm后还要远大于1。
例2:光电信号放大器
下图展示了一个简单的光电信号放大器,该电路用于测量光电二极管输出的电流信号并转换为电压输出。

该电路的等效模型如下,C1主要为光电二极管的电容,C3为VCCS的寄生电容和负载电容(下一级的输入电容)。我们可以猜测C3的一半是实现gm时产生的寄生电容一半是负载电容。因为要捕捉微弱的光线,光电二极管一般很大,所以C1可以被假设远大于C 3 。R2为反馈电阻。

现在根据基本π型列出传输函数,并重写成二阶低通基本型:

光电信号是基带信号,带宽很高,所以我们放大器的-3dB带宽要达到信号的带宽。所以我们要让Q等于1,这样带宽约为ω 0 ,而且尖峰非常小(阶跃响应不会有波纹)。
我们又知道C3远小于C 1 。所以

如果设计满足公式1,那么gmR2也就远大于1了,因为C 1 /C3远大于1。
ω0根据信号带宽已经定下,R2根据光电二极管电流大小和目标输出幅度可以定下,C1根据发光二极管的尺寸已经定下,所以我们只需要选择gm和C 3 。之后我们会学习MOSFET结构,但是现在我们可以做一个简单的预习设计。根据ω0和C1我们可以算出g m ,在我们所假设的一种特定条件下,gm正比于W/L。然后,根据ω0和R2我们可以算出C 3 ,它正比于W×L。知道了W/L和W×L我们就可以算出W和L了,如果算出的L小于你所用工艺的L,那么这个结构就不能满足你的需求啦,要么换一个结构要么换更好的工艺吧!
最后做出来的传输函数应该长这样:

最后说一点很重要,任何手算的设计数据都是估计值,用仿真机跑出来后肯定有比较大的误差,但是没关系,我们可以降低估算的尺度,再设计几次,或者用仿真机微调。但是不管做任何设计,盲目地使用仿真机都是错误的,从手算开始的习惯是非常重要的。
玻璃釉电容器的结构与特点
时间:2026-03-05
表贴电容的分类
时间:2026-03-05
关于STM32WL LSE 添加反馈电阻后无法起振的...
时间:2026-03-05
RI-80F型高压高阻玻璃釉膜电阻分压器
时间:2026-03-05
电阻的标称阻值和允许偏差
时间:2026-03-05
电容在交流电路中是怎样工作的?
时间:2026-03-05
高压电容怎么测好坏_如何提高高压电容寿命
时间:2026-03-05
电容屏也有区别?自电容屏和互电容屏有什么...
时间:2026-03-05
一文读懂,电容器的工作旅程
时间:2026-03-05
如何绕制电感与选择磁芯减小寄生电容
时间:2026-03-05