三电容电路
作为基本π网络的一种,三电容电路是理解模拟电路频响、放大器稳定性、开关-电容放大器、开关-电容积分器、采样保持放大器的基础。从多种不同的角度深刻理解三电容电路是模拟电路设计入门的关键,同时 三电容电路也是各大电路公司面试常用的题型 。

首先,这个电路有三个电容,但是三个电容形成一个环,电路只有两个独立的状态变量(state variable),所以这个电路的传输函数只有两个极点。

零极点的位置如下图,有一个极点在原点,注意有一个零点在右半平面。

假设拉普拉斯域I 1 (s) 为 1,或者时域i 1 (t)为1*δ(t),我们可以通过拉普拉斯反变换找出v 2 (t):

我们发现,v 2 (t) 由一个阶跃项和一个指数项组成,指数项会衰减到0,但是阶跃项会一直保持。合在一起的总响应就是一开始有一个反向的过冲(overshoot),然后会以指数衰减的方式稳定到一个固定的终值。

现在我们换一种方式来分析零极点。之前我们讲过,极点是由电路的纯粹的拓扑结构所定的,每一个网络函数都有一样的极点。
三电容电路零极点分析
现在我们来看这个纯粹的电路。假设这个电路是零状态的(relaxed),那么这个电路是线性时不变的(LTI),所以C1 C2组成了一个分压器,那么我们可以用V1来表示V 2 。

但是V2由是受控源两端的电压,而这个受控源也受到V1的控制,所以就变成了压控电流源被自己两端电压所控制。 一个被自己电压控制的电流源就是一个电阻 。所以我们可以算出该电阻:

于是,三电容电路变成了下图。这个电路的时间常量很好算了,算出来果然跟我们之前算的一个极点吻合。

另一个极点呢?
我们现在假设C2 C3上的t=0- 时的初始状态为这样:

当t=0时,我们发现整个电路没有电流,C2 C3上的电压一直保持着,这种能够保持初始状态的网络,一定有一个极点在原点。我们可以举一个最简单的例子,一个电容可以保持电压,所以电容的阻抗这个网络函数有一个极点在原点。
这也与我们之前的推导吻合。
现在找零点,我们之前学过,零点是很特别的,是由激励和响应的相对位置决定的。找零点需要抵消响应。现在我们把响应V2 抵消掉,如图:

那么C3没有电流,受控源的电流等于C2的电流,但是C2的电流由可以被直接用V1表示出来,所以:

三电容电路时域分析
然后, 我们从时域的角度把三电容电路的机理再过一次 (非常重要!是深入理解三电容电路并帮你通过面试拿到offer的关键!)。
我们必须要先理解冲激电流的物理意义。单位冲激电流在拉普拉斯域的表示为1。注意这个1是有单位的,单位是库伦,大家可以思考一下为什么电流的拉普拉斯转换的单位是库伦。在时域里,单位冲激函数前面的1的单位也是库伦,因为单位冲激函数的积分为1,但是电流的积分必须是库伦,所以这里的1代表了一个包裹的1库伦电荷,这个1库伦的电荷只需要0时间就可以被输送,因为在t=0的时候,电流无穷大。
所以,单位冲激电流的物理意义就是用0时间通过无穷大的电流向一个高斯面里输送了1库伦电荷。

现在回到三电容电路,在t=0-时,三个电容都没有初始电荷。在t=0时,1库伦的电荷被注入到了红色高斯面里。现在的问题是,会不会有有限量的电荷在t=0时流入绿色高斯面。我们来分析这个情况:

如果有有限量的电荷流入绿色高斯面,那说明受控源gmv1必须是无穷大,因为无穷大的电流才能在0时间内输送有限的电荷,有限的电流在0时间内输送0电荷。

这表示v1是无穷大,但是v1无穷大的话,红色高斯面内必须有无穷大的电荷,这不可能,因为冲激电流所携带的电荷是有限的。所以受控源电流是有限的,受控源在0时间内不输送任何电荷。所以在t=0+时,只有电荷会在C1 C2 C3 中重新分布,1库伦的电荷会在C 1 +C 2 ||C3这个总电容上建立一个电压v 1 (0+)。C2 和C3必须形成一个分压器,因为C2的右极板和C3的上极板的电荷总和为0。这样我们可以推出v 2 (0+):

化简v 2 (o+),我们可以得到:

这跟我们之前用拉普拉斯转换得到的结果一致 !
下面看最终状态,当电路达到最终状态时,所有的状态变量都不再改变了(除非我们有共振或者不稳定的特殊情况,然而这个电路显然没有),这说明受控源gmv1必须为0,v1必须为0。但是当t>0时,红色高斯面内的电荷就不再会改变了,因为独立电流源为0,所以所有1库伦的电荷都必须被“挤压”到C2上,产生电压1/C 2 。因为v 1 (∞)为0,所以我们可以算出v 2 (∞)为-1/C2。
这又跟我们用拉普拉斯转换得到的结果一致 !
我们之已经分析过,这个电路只有一个非无穷大的时间常量,所以这是一个“准一阶电路”。对于这种电路,只要我们知道在t=0+的初始值和t=∞的终值,中间的行为就是一个一阶指数衰减。所以我们得到与之前一致的响应:

引入非理想效应
接着我们引入一个不理想效应,在受控源处并联一个电导G 3 (有没有觉得下面的电路图很熟悉?对了,就是MOSFET小信号电路基本就长这样)。

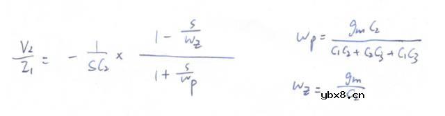
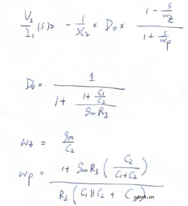
重新使用基本π型函数列出传输函数:

使用拉普拉斯反变换,我们得到

这里,D0成为了误差项,如果要让D0非常接近于1,gmR3要远大于1+C 1 /C 2 。
我们来从时域角度看这个问题:

如果G3不为0,那么在终值状态时,会有一个循环的电流流过G 3 。所以gmv1不为0,那么v1不为0。这样,并非所有的1库伦电荷都被“挤压”到了C2上,这就是导致误差项的原因。对于模拟电路而言,我们希望精确地放大信号,放大倍数最好是元件之间的比例。假如我们的冲激电流源变成了vsC1δ(t),或者说C1 采样了一个电压源v s ,C1在t=0时被放置到三电容电路里,如果G3为0,那么响应v2终值将为准确的电容比例-C 2 /C1 v s 。但如果G3不为0,这个比例就会有误差。
三电容电路实际应用
看到这里,大家一定会认为我们会拿MOSFET小信号电路作为例子吧?非也,我们当然要找一个更有趣的例子。下面由焦魔为大家讲一个三电容电路的实例:开关电容积分器(SCIntegrator)。
开关电容积分器是有源梯形滤波器(Active Ladder Filter)的基本组成模块。相比于使用电阻电容有源滤波器(OpAmp RC Filter),开关电容滤波器(SC Filter)具有精度高,噪声小,受工艺、电压、温度影响小的优点(原因是我们不再需要电阻这个在芯片上很难做准的元件了)。下图所示为一种基本的开关电容积分器(前向欧拉型,Forward Euler)的电路。

注:在该电路图中,梯形符号代表跨导放大器(Operational Transconductance Amplifier, OTA)。跨导放大器和我们熟悉的运算放大器非常容易混淆,前者使用梯形符号,后者则是三角形符号。运算放大器的模型是一个压控电压源,跨导放大器的模型是一个压控电流源。严格来讲,我们通常所说的集成电路中的运算放大器实际上都是指跨导放大器;而我们做板级电路设计时使用的运放芯片才是真正的运算放大器。

该电路有两个工作相位。在φ1相位,电容C1的电压跟随输入电压vi变化,φ1相位结束时电容C1的电压即为φ2相位开始时的初始电压。φ2相位时电路的小信号模型如下图右侧所示。其中冲激电流源等效代表了C1的初始电压。电路的时序和波形图如下:

电容C1在每个周期的采样值在tk时刻确定,输出电压在每个周期φ2的开始时刻开始变化,先有一个瞬时的前向馈通,然后以指数衰减的形式稳定到最终的电压值,理想情况下电压的变化量由电容C1和C2的比值以及tk时刻采样的输入电压值决定。同时,上一个周期存在C2上的电荷并没有被释放,所以这个电路就变成了一个积分器。如果考虑OTA有限的输出电阻,这个电压变化量会有一定的偏差。
智能硬件遭遇销量困局 看社区O2O如何破解
时间:2026-03-05
物联网新时代,关于安全的5大错误认知
时间:2026-03-05
智能停车场一体化控制器方案简述
时间:2026-03-05
ZigBee应用于智能家居是否存在严重漏洞?
时间:2026-03-05
推动物联网发展,供电是基础设备的生命线
时间:2026-03-05
楼宇对讲走向标准化 四大发展方向明确
时间:2026-03-05
最帅“黑”科技:让普通手机可扫描3D
时间:2026-03-05
未来的智能住宅是什么样的?
时间:2026-03-05
无线智能家居三层别墅标准配套方案
时间:2026-03-05
如何让现代城市如何更智慧
时间:2026-03-05
玻璃釉电容器的结构与特点
时间:2026-03-05
表贴电容的分类
时间:2026-03-05
关于STM32WL LSE 添加反馈电阻后无法起振的...
时间:2026-03-05
RI-80F型高压高阻玻璃釉膜电阻分压器
时间:2026-03-05
电阻的标称阻值和允许偏差
时间:2026-03-05
电容在交流电路中是怎样工作的?
时间:2026-03-05
高压电容怎么测好坏_如何提高高压电容寿命
时间:2026-03-05
电容屏也有区别?自电容屏和互电容屏有什么...
时间:2026-03-05
一文读懂,电容器的工作旅程
时间:2026-03-05
如何绕制电感与选择磁芯减小寄生电容
时间:2026-03-05