开关电源以其体积小、效率高等优点在通信设备中得到了广泛应用。但对于输出电压纹波要求较小的场合,传统开关电源设计的输出电压纹波较大,已不能达到设计要求。
而通过采用本文的有源滤波器及其前端加入LC低通滤波器网络的方法,则能够对纹波进行有效抑制,从而达到设计所需要的指标。实验结果表明,该方法具有一定的理论与实际意义。
1、有源滤波器原理
有源滤波器的设计原理图如图1所示,图中采用了一个运算放大器、四个电阻和两个电容来构成有适当阻尼的二阶有源低通滤波器。

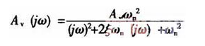
利用理想运放的分析方法,求得该电路的频率特性函数为:

一般情况下,根据二阶低通滤波器的频率特性函数为:

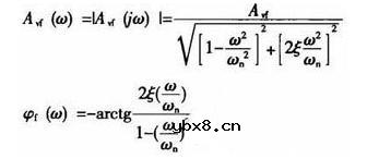
通过上式可以求出该有源滤波器的一些参数,如自然角频率ωn阻尼系数ξ和闭环增益Avf等:

由上面的公式可以推得二阶低通滤波器的幅频特性Avf(ω)和相频特性φf(ω)为:

图2所示是其幅频特性与相频特性图。

2、LC低通滤波器
在实际应用中,有源低通滤波器由于受到运算放大器的增益和带宽限制,其工作在高频段的波形效果不太理想,而在有源低通滤波器的前端加入截止频率较高的LC低通滤波器,则可以达到比较理想的纹波抑制效果。其前端加入LC的滤波器原理图如图3所示。
3、实验结果及其波形
在有输出纹波的波形中,图4给出了未使用有源滤波网络的输出电压纹波图,而图5所示则是使用有源滤波网络后的输出电压纹波图。

4、结语
通过对比可以看出,采用本文的有源滤波网络及在其前端加入LC低通滤波电路,可以有效的滤除电压纹波,达到方案中所要求的技术指标,同时,供电设备的工作稳定性也可得到可靠保证。
突破人形机器人控制器性能瓶颈:高效稳定的...
时间:2026-03-05
一文讲懂开关电源的阻尼振荡
时间:2026-03-05
使用过滤器电容器和诱导器来抑制受辐射的EM...
时间:2026-03-05
智能硬件遭遇销量困局 看社区O2O如何破解
时间:2026-03-05
物联网新时代,关于安全的5大错误认知
时间:2026-03-05
智能停车场一体化控制器方案简述
时间:2026-03-05
ZigBee应用于智能家居是否存在严重漏洞?
时间:2026-03-05
推动物联网发展,供电是基础设备的生命线
时间:2026-03-05
楼宇对讲走向标准化 四大发展方向明确
时间:2026-03-05
最帅“黑”科技:让普通手机可扫描3D
时间:2026-03-05
关于STM32WL LSE 添加反馈电阻后无法起振的...
时间:2026-03-05
3PEAK高压零漂放大器契合精密应用
时间:2026-03-05
气敏电阻的型号命名方法是怎样的
时间:2026-03-05
国巨片式电阻缺货涨价之应对方案 你要知道电...
时间:2026-03-05
RI-80F型高压高阻玻璃釉膜电阻分压器
时间:2026-03-05
电阻的标称阻值和允许偏差
时间:2026-03-05
玻璃釉电容器的结构与特点
时间:2026-03-05
电解电容器的结构与特点
时间:2026-03-05
浅谈电解电容检测及选用
时间:2026-03-05
表贴电容的分类
时间:2026-03-05