滤波器,滤波器的种类/作用/原理是什么?
电工问答2026-03-05
滤波器,滤波器的种类/作用/原理是什么? 一、概述 1.定义 凡是可以使信号中特定的频率成分通过,而极大地衰减或抑制其他频率成分的装置或系统都称之为滤波器,相当于频率“筛子”。
光滤波器,什么是光滤波器
电工问答2026-03-05
光滤波器,什么是光滤波器 基于干涉原理的滤波器:熔锥光纤滤波器、Fabry-Perot滤波器、多层介质膜滤波器、马赫-曾德干涉滤波器。
电工问答2026-03-05
环路滤波器,什么是环路滤波器 环路滤波器 PLL的概念 我们所说的PLL。其实就是锁相环路,简称为锁相环。许多电子设备要正常工作,通常需要外部的输入信号与内部的振荡信号同步,利用锁相环路就可以实现这个目的。
全数字环路滤波器,什么是全数字环路滤波器
电工问答2026-03-05
全数字环路滤波器,什么是全数字环路滤波器 环路滤波器的性能优劣会直接影响到跟踪环路的性能。而采用数字化的环路滤波器便于调试参数和提高系统可靠性。环路滤波器的输出要直接控制频率合成器产生相应频率,使本地
滤波器,滤波器电路,滤波器原理
电工问答2026-03-05
滤波器,滤波器电路,滤波器原理 一、概述 1.定义 凡是可以使信号中特定的频率成分通过,而极大地衰减或抑制其他频率成分的装置或系统都称之为滤波器,相当于频率“筛子”。
电工问答2026-03-05
连续时间滤波器,什么是连续时间滤波器 许多现代通信系统如电视、电话等都包括各种各样的滤波器。一般来说,滤波器可以分成两大类即无源滤波器和有源滤波器。从20世纪20年代到20世纪60年代末,许多滤波器是由无源元
抗混迭滤波器,什么是抗混迭滤波器
电工问答2026-03-05
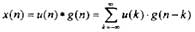
抗混迭滤波器,什么是抗混迭滤波器 背景知识:基本原理:抗混叠滤波器g(n)的输入和输出之间的卷积关系如下
数字滤波器,数字滤波器原理是什么?
电工问答2026-03-05
数字滤波器,数字滤波器原理是什么? 在信号处理领域中,对于信号处理的实时性、快速性的要求越来越高。而在许多信息处理过程中,如对信号的过滤、检测、预测等,都要广泛地用到滤波器。其中数字滤波器具有稳定性
有源滤波器,有源滤波器是什么意思
电工问答2026-03-05
有源滤波器,有源滤波器是什么意思 一、基本概念: 有源电力滤波器(APF)是一种用于动态抑制谐波、补偿无功的新型电力电子装置,它能够对大小和频率都变化的谐波以及变化的无功进行补偿,之所以称为有源, 顾
状态变量滤波器,状态变量滤波器原理是什么?
电工问答2026-03-05
状态变量滤波器,状态变量滤波器原理是什么? 状态变量滤波器,又称多态变量滤波器,它可以分别从不同的点同时输出高通、带通、低通等,且增益A、截止频率w0、品质因素Q独立可调屯互不影响。
电工问答2026-03-05
有源电力滤波器产品化的研究 摘要:作者是上海交大的在职工程硕士毕业,从事实际工作多年,工程研究方向为电力有源滤波器。现在直接代表国外公司推广有源滤波器、无功补偿产品。本文介绍了电力有源滤波器的技术发展
电工问答2026-03-05
电力有源滤波器技术的探讨 随着大功率开关器件的日益广泛应用,电力系统谐波抑制及无功补偿问题变得日益迫切,电力有源滤波技术是解决上述问题的有效手段。本文简要介绍电力有源滤波技术的原理、分类和控制策略,并
APF PCS 有源电力滤波器
电工问答2026-03-05
APF PCS 有源电力滤波器 APF PCS有源滤波器具有:有源滤波、动态补偿、抑制谐振、补偿无功功率等四大功能。产品为成套设备体积小、占地少、安装操作方便,并联安装于配电系统母线或用电设备旁,可落地安装或挂
电工问答2026-03-05
APF PCS 有源滤波器功能有哪些 在本文中,我们将就APF PCS的四大功能: 动态补偿、抑制谐振、无功补偿、主动(有源)滤波进行详细介绍。
二阶带通滤波器电路
电工基础2026-03-05
二阶带通滤波器电路
多路反馈二阶带通滤波器
电工基础2026-03-05
多路反馈二阶带通滤波器
交流电路的分析计算方法
时间:2026-03-05
多业务广域网解决方案
时间:2026-03-05
无线网络新技术_无线MESH网络是什么
时间:2026-03-05
简单无线mesh网络搭建
时间:2026-03-05
无线mesh网络特点
时间:2026-03-05
无线接入方式有哪些
时间:2026-03-05
无线接入器是什么
时间:2026-03-05
无线中继器安装操作步骤
时间:2026-03-05
无线中继器怎么设置_怎样用中继器增强wifi无...
时间:2026-03-05
tplink无线中继器设置
时间:2026-03-05
彩灯电路
时间:2026-03-05
三相异步电动机原理
时间:2026-03-04
转角测量电路
时间:2026-03-05
经典的正弦波发生电路
时间:2026-03-05
电度表的工作原理
时间:2026-03-04
电动机单线远程正反转控制电路图
时间:2026-03-04
三相异步电动机的拆装详讲
时间:2026-03-04
三相异步电动机的七种调速方式
时间:2026-03-04
USB转232电路图
时间:2026-03-04
沈乐满SR-5燃气热水器原理图
时间:2026-03-05