1.半桥逆变框图:

1.输出平均值推导:
逻辑关系:两管同时导通短路,所以不能两管同时导通
Q1导通,Q2关闭 Vout=1/2Vdc,Q2导通,Q1关闭 Vout=-1/2Vdc可得:

2.载波最大值推导:


3.占空比分析推导:


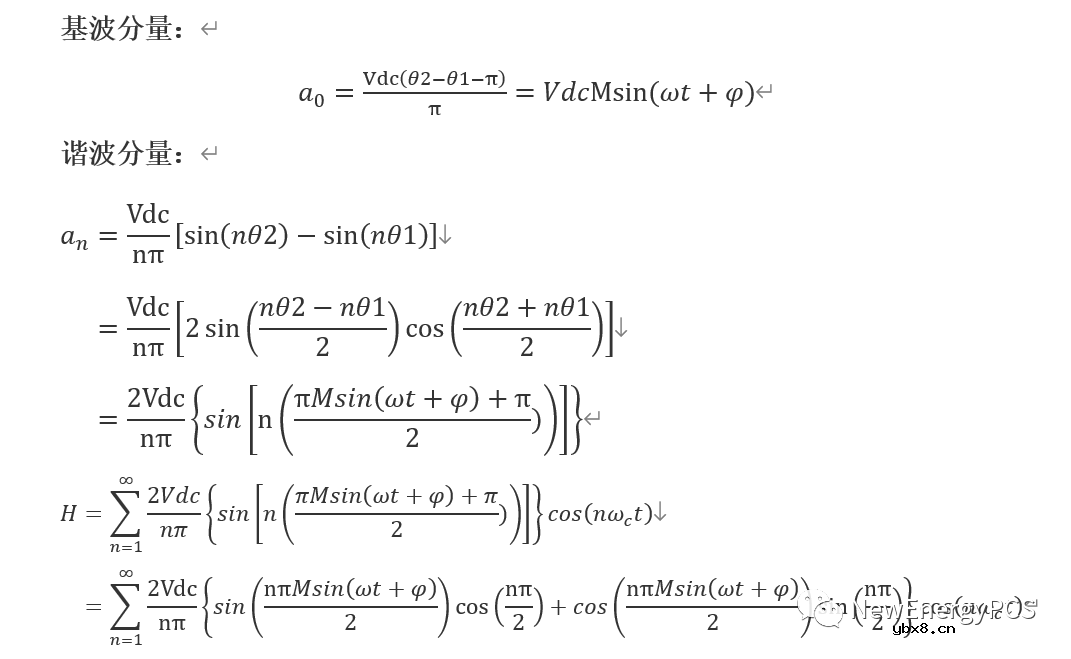
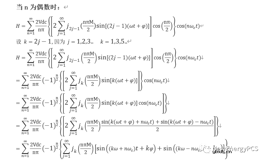
4.谐波分析推导:

单相双极性工作方式的调制波Ur,载波Uc,输出电压波形Uao:
调制波函数:Ur=Vmsin(ωt+φ)

载波频率为基准的傅里叶分析方式,取一个载波周期分析输出电压可得:

根据傅里叶公式展开Vao得到:




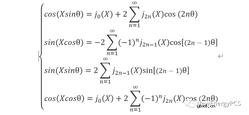
贝塞尔公式:

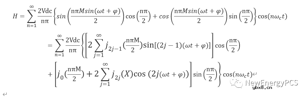
代入谐波公式:






mathcad建立辅组Γ函数用于求解n阶贝塞尔函数,也被称为第一类Bessel函数。贝塞尔函数是贝塞尔方程的解,它们和其他函数组合成柱调和函数。除初等函数外,在物理和工程中是最常用的函数。

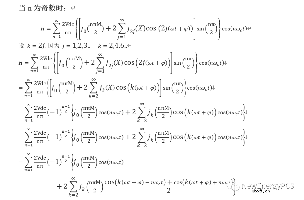
根据贝塞尔函可得谐波分布情况:


载波频率(开关频率)处及其附近的谐波(n=0,±2等),是主要谐波,计滤波器时主要考虑这些谐波。在所有谐波中,幅值最大的谐波出现在开关频率(n=1,k=0)处。2倍及以上倍开关频率附近的边带谐波幅值较低。频谱的分布不只与Mr的大小有关,也与载波比N有关;Mr可以改变谐波的幅值,而N可以改变谐波的频率。N越大,谐波频率越高,滤波越容易。当N达到一定值时,只用几个微法的电容就可以达到比较好的滤波效果(可以将设备做的比较小),这就是提高开关频率的主要原因。
结论:
桥臂开关谐波分量的解析法比较复杂,用双重傅里叶级数分解为调制波角频率倍数的谐波,而采用以载波的角频率为基准,考察边频带谐波分布情况的方法是比较常见的。
突破人形机器人控制器性能瓶颈:高效稳定的...
时间:2026-03-05
一文讲懂开关电源的阻尼振荡
时间:2026-03-05
使用过滤器电容器和诱导器来抑制受辐射的EM...
时间:2026-03-05
智能硬件遭遇销量困局 看社区O2O如何破解
时间:2026-03-05
物联网新时代,关于安全的5大错误认知
时间:2026-03-05
智能停车场一体化控制器方案简述
时间:2026-03-05
ZigBee应用于智能家居是否存在严重漏洞?
时间:2026-03-05
推动物联网发展,供电是基础设备的生命线
时间:2026-03-05
楼宇对讲走向标准化 四大发展方向明确
时间:2026-03-05
最帅“黑”科技:让普通手机可扫描3D
时间:2026-03-05
玻璃釉电容器的结构与特点
时间:2026-03-05
表贴电容的分类
时间:2026-03-05
关于STM32WL LSE 添加反馈电阻后无法起振的...
时间:2026-03-05
绝缘电阻表原理_绝缘电阻表的作用
时间:2026-03-05
绝缘电阻用什么来测量_绝缘电阻测量方法
时间:2026-03-05
气敏电阻的型号命名方法是怎样的
时间:2026-03-05
国巨片式电阻缺货涨价之应对方案 你要知道电...
时间:2026-03-05
RI-80F型高压高阻玻璃釉膜电阻分压器
时间:2026-03-05
电阻的标称阻值和允许偏差
时间:2026-03-05
穿芯电容的形式_穿芯电容应用
时间:2026-03-05