阻抗匹配器件常常用于高频电路中,一般用来匹配元器件的阻抗和电路或系统的特性阻抗。在某些电路中,希望阻抗匹配能够 实现多个八度音阶频率覆盖范围,同时插损很低。为了帮助阻抗变压器设计人员,本文对阻抗比为1:4的不平衡到不平衡(unun)宽带阻抗变压器的设计进行了探讨。这种变压器在无线通信系统(一般是混合电路、信号合分路器)中很有用,对放大器链路的级间耦合也很有益。
这种宽带unun阻抗变压器对测试电路、光接收器系统、带宽带阻抗匹配的微波电路,以及天线耦合也很有用。可用于高频电路设计及 仿真的现代计算程序在自己的工具箱里就收纳了这种器件。宽带unun阻抗变压器包含了一个缠绕了双绞传输线的环形铁氧体磁芯,绕线间通过釉质膜隔离。结合 常规传输线阻抗变压器的设计元件,有可能建立起一个真正的宽带组件。对1:4阻抗转换比而言,这种设计方式可提供很高的效率。

在常规阻抗变压器中,初级线圈和次级线圈之间的能量转移主要通过磁耦合发生,这也是变压器提供良好低频响应能力的原因。假设铁氧体磁芯无损,负载和源阻 抗是纯电阻性的,而且只考虑其磁化电感的影响,由此获得的变压器低频简化模型可表示为图2中的结构。在最大能量转移条件下,该低频模型的响应由器件的插损 决定:

这里:Pg=源的最大可用功率、Pc=负载功率、Rg=源阻抗、Xm=磁抗。最后这个参数可通过下式由工作频率f和磁芯的磁化电感Lm求得:

Lm的值取决于初级线圈的匝数和磁芯的电感因子Al。通常,这个因子是由铁氧体磁芯制造商规定的,单位为纳亨/平方匝数(nH/turns2)。因此,以nH为单位的磁化电感可表示为:

把该参数带入对应的磁抗公式中,再将计算结果带入插损公式中,即可求得变压器的低端截止频率。因此:

这个值随初级线圈匝数增加而降低。给定截止频率,通过上式也可计算出正确的初级线圈匝数。为了让电感的单位为nH,这里使用了109因子。

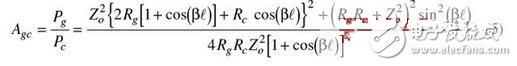
传输线变压器初级线圈和次级线圈之间的电耦合增强了高频能量的转移。图3所示为一个传输线1:4 unun变压器的高频模型,鉴于其长度很短,没有考虑损耗。在这种理想模型中,源和负载阻抗都假设是纯电阻性的。该高频模型响应也由它的插损来确定。此 外,源功率和二次负载功率间的比率为:

这里:Rg=源阻抗、Rc=负载阻抗、Zo=传输线特性阻抗、βl=相位因子、l=kλ=传输线长度(这里λ是波长,k是小数值)。

由公式5可看出,要获得良好的宽带高频响应,Zo值的优化十分重要。对二分之一波长(λ/2)的传输线长度,能量转移是无效的,并比四分之一波长(λ /4)长度的传输线的最大值小1dB。由此可看出,传输线的长度越短,其高频响应的带宽越大。对最大功率传输而言,最佳传输线特性阻抗和负载阻抗分别为:

源和负载阻抗之间必需有1:4的转换以实现阻抗匹配。因此,传输线特性阻抗和源及负载阻抗之间的关系可表示为:

在做电子实验需要用到市电时,最好是用1:1的工频变压器做一个隔离电源,这样无论人体单独碰到哪一根电线都不会有触电的危险。因为1:1变压器的作用,电源与市电隔离,与大地没有电流回路,只碰触一根线是不会触电的,除非同时碰触到两根电源线才会触电。
那么在电子爱好者手中未必有1:1工频变压器怎么做隔离电源呢?有办法!普通降压变压器肯定有吧?比如初级220V,次级12V,用两个这样的变压器,把它们的次级12V端相接,一个变压器的初级接入市电,另一个变压器的初级输出的就是隔离电源了。如下图:

第一个变压器先把市电降至12V,第二个变压器再将12V升压至220V,两个变压器的降压比一定要一致才能输出与市电一致的电压。变压器功率也最好一样,它们的功率决定了输出电源的功率。如果两个变压器功率不相同,则以小功率的为输出电源功率。
惠普彩色激光打印机工作原理
时间:2026-03-06
激光打印机的类型
时间:2026-03-06
什么是打印机分辨率
时间:2026-03-06
激光打印机的打印速度
时间:2026-03-06
激光打印机最大打印幅面
时间:2026-03-06
激光打印机打印的介质类型
时间:2026-03-06
打印机供纸方式
时间:2026-03-06
打印机的纸盒容量
时间:2026-03-06
打印机的首页输出时间
时间:2026-03-06
什么是打印机最大打印能力
时间:2026-03-06
玻璃釉电容器的结构与特点
时间:2026-03-05
关于STM32WL LSE 添加反馈电阻后无法起振的...
时间:2026-03-05
电阻的标称阻值和允许偏差
时间:2026-03-05
使用过滤器电容器和诱导器来抑制受辐射的EM...
时间:2026-03-05
如何区分电容的正负极
时间:2026-03-05
瓷片电容的意义以及电容抗扰电路设计与分析
时间:2026-03-05
电容电感区别在哪里?特性差异是什么?可编...
时间:2026-03-05
浅谈高压贴片电容分类与性能参数
时间:2026-03-05
聚四氟乙烯电容器的结构与特点
时间:2026-03-05
漆膜电容器的结构与特点
时间:2026-03-05