采用无变压器电源解决方案为低功率电路提供所需电源通常是有利的。
事实上,如果负载电流只有几十毫安,则可以将输入交流电压转换为直流电压,而无需使用大型、昂贵且笨重的变压器。不带变压器的替代方案也更便宜、更轻并且占地面积更小。无变压器电源根据电路类型分为两类:电容式和电阻式。现在我们将了解每种类型电路的特性、如何评估所涉及电子元件的功率以及应采取哪些安全预防措施。
无变压器电容电源
图 1 显示了无变压器电容电源的原理图。下面提供了可让您确定所需组件值的公式。交流电源电压的火线和中性线分别用L和N表示,而输出电压和电流分别用V OUT和I OUT表示。电阻器 R1 和 C1 的电抗均用于减少浪涌电流,浪涌电流可能会损坏组件。D2 是典型的硅二极管,其任务是对交流电压进行整流,而 D1 是齐纳二极管,提供稳定的参考电压。

图 1:电容式无变压器电源(图片:Microchip)。
图 1:电容式无变压器电源(图片Microchip)
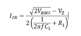
只要输出电流 I OUT 小于或等于输入电流 I IN,负载上的电压就保持恒定,其值可以计算为:

小功率无变压器电源设计
其中 V Z 是齐纳电压, V RMS 是输入交流电压的RMS 值, f 是其频率。I IN的值 应与负载功率需求相匹配,而其值应用于为每个组件选择正确的额定功率。输出电压 V OUT 的 计算公式如下:小功率无变压器电源设计其中 V D是 D 2 上的正向偏置电压 (对于常规硅二极管为 0.6–0.7 V)。对于 R 1,建议选择功率至少为理论值 P R1两倍的元件 给出:小功率无变压器电源设计
电容器 C 1 的电压应至少为交流电源电压的两倍(例如,在美国为250 V),该电容器即此类电路的名称。二极管 D 1 的 功率应至少是由以下公式给出的理论值的两倍:小功率无变压器电源设计这同样适用于二极管 D 2的功率,其中现在可以使用恒压值 0.7 V 代替 V Z。对于 C 2,通常使用电解电容器,其电压至少是 V Z的两倍。
与基于变压器的解决方案相比,电容解决方案的主要优点在于减小了尺寸、重量和成本。与下一段中介绍的电阻型解决方案相比,该电路可以让您获得更高的效率水平。缺点是缺乏与交流输入电压的绝缘,并且成本比电阻解决方案更高。
无变压器电阻电源
同样,在无变压器电阻电源中, 只要 电流 I OUT 小于或等于输入电流 I IN ,输出电压 V OUT就保持恒定。但不同的是,现在仅通过电阻R 1来限制浪涌电流。输出电压 V OUT 可以使用与电容式电源相同的公式计算,而输入电流 I IN 现在可以通过应用以下公式获得:小功率无变压器电源设计
与前一种情况一样,所选组件的功率值必须至少是理论功率值的两倍,这可以通过应用欧姆定律计算(对于电阻器 R 1 为 P = R × I 2 ,对于电阻器 R 1 为 P = R × I 2 ,对于电阻器 R 1 为 P = R × I ,对于电阻器 R 1 为P = R × I 2 , 对于二极管 D 1 和 D 2 )。电解电容器 C 2 的尺寸必须与电容情况相同。
与基于变压器的电路相比,电阻电源的优点是尺寸和重量更小,并且代表了的解决方案。然而,即使在这种情况下,交流电源也没有绝缘,效率也低于电容方案。
S/HS固态继电器原理与应用
时间:2026-03-06
固体继电路工作原理
时间:2026-03-06
电磁继电器的特性参数
时间:2026-03-06
电磁继电器的结构和工作原理
时间:2026-03-06
电磁继电器的选用原则
时间:2026-03-06
微型电磁继电器
时间:2026-03-06
超小型弱功率密封直流电磁继电器
时间:2026-03-06
小型中功率密封直流电磁继电器
时间:2026-03-06
小型强功率密封直流电磁继电器
时间:2026-03-06
大功率电磁继电器
时间:2026-03-06
玻璃釉电容器的结构与特点
时间:2026-03-05
关于STM32WL LSE 添加反馈电阻后无法起振的...
时间:2026-03-05
电阻的标称阻值和允许偏差
时间:2026-03-05
使用过滤器电容器和诱导器来抑制受辐射的EM...
时间:2026-03-05
如何区分电容的正负极
时间:2026-03-05
瓷片电容的意义以及电容抗扰电路设计与分析
时间:2026-03-05
电容电感区别在哪里?特性差异是什么?可编...
时间:2026-03-05
浅谈高压贴片电容分类与性能参数
时间:2026-03-05
聚四氟乙烯电容器的结构与特点
时间:2026-03-05
漆膜电容器的结构与特点
时间:2026-03-05