变压器设计考量

AP法则
1、多大窗口面积Aw可以保证变压器线圈绕制且安全距离充足?

2、多大磁芯有效截面积Ae可以保证变压器最大功率下也不饱和?

3、AP值定义为Aw和Ae的乘积,满足AP值的磁芯及配套骨架为可用变压器:

变压器匝比n和初级感量Lp
变压器匝比n影响Q1的Vds电压、D1的Vrr电压,并受最大占空比限制




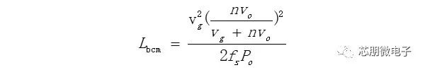
初级感量Lp影响变换器工作模式:
**

磁通密度
** 1.反激变压器有变压和储能双重作用:**
当Q1导通则D1截止,变压器储能能量于初级电感Lp中;当Q1截止则D1导通,变压器向次级负载释放能量;
** 2.由于反激变换器多基于峰值电流控制,** 因而Ipmax由控制芯片通过CS电阻限定;
** 3.变压器磁化曲线在第一象限:**
为防止变压器饱和,磁芯需开气隙,使得最大磁通密度Bm

电流增量

最大原边电流

最大磁通密度

磁化曲线
电流密度
1.电流密度定义为流过线圈电流有效值除以线圈截面积。电流密度越小,变压器线圈的发热则越小。

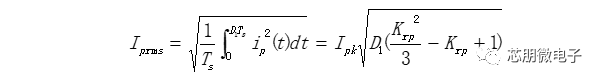
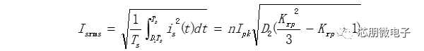
2.Krp因子统一了反激变换器的任意模式的优化分析:Krp因子越小,变压器原副边的电流峰值及有效值越小。不同工作模式下,反激变压器工作电流波形差异较大,通过Krp因子可简化计算。




趋肤效应、临近效应
1.趋肤效应: 高频电流流过导体时,越靠近导体表面电流密度越大,越靠近导体中心电流密度较小,结果使导体损耗增加。导线中电流密度从表面到中心按指数规律下降,工程上定义表面下穿透深度以内流导线全部电流。

导体穿透深度@20℃

铜导体穿透深度@100℃

2.邻近效应: 当高频电流在两导体中彼此反向流动,电流会集中于导体邻近侧流动。
共模噪声
由于反激电源内部的高频干扰源电流方向不同,可通过优化设计变压器使干扰相互抵消:当共模平台电压向上则增加屏蔽圈数,向下则减少屏蔽圈数,直至共模平台电压控制在2V以内。

变压器寄生电容分析模型

共模噪音分析模型

共模噪音波形
**
二极管的基础知识
时间:2026-03-07
TVS等同于普通二极管吗?
时间:2026-03-07
TVS二极管能替代稳压管吗?
时间:2026-03-07
选择理想TVS二极管的考虑因素主要有哪几点
时间:2026-03-07
二极管的基础知识
时间:2026-03-07
常见的二极管应用电路
时间:2026-03-07
二极管双平衡混频器的使用方法
时间:2026-03-07
二极管为何不适合并联?串联为何还要均压?
时间:2026-03-07
信号二极管的串联方式与并联方式
时间:2026-03-07
稳压二极管的工作原理及关键参数
时间:2026-03-07
玻璃釉电容器的结构与特点
时间:2026-03-05
电容器入门教程
时间:2026-03-05
关于STM32WL LSE 添加反馈电阻后无法起振的...
时间:2026-03-05
暑期买元器件下单立减还送华为P30pro
时间:2026-03-05
电阻的标称阻值和允许偏差
时间:2026-03-05
使用过滤器电容器和诱导器来抑制受辐射的EM...
时间:2026-03-05
LED固晶机龙头直面“寒冬”
时间:2026-03-05
浅谈高压贴片电容分类与性能参数
时间:2026-03-05
聚四氟乙烯电容器的结构与特点
时间:2026-03-05
漆膜电容器的结构与特点
时间:2026-03-05