全数字环路滤波器,什么是全数字环路滤波器
环路滤波器的性能优劣会直接影响到跟踪环路的性能。而采用数字化的环路滤波器便于调试参数和提高系统可靠性。环路滤波器的输出要直接控制频率合成器产生相应频率,使本地伪码能够准确跟踪发端信息。
基本原理:
数字环中使用的数字环路滤波器与模拟环中使用的环路滤波器作用一样,都对噪声及高频分量起抑制作用,并且控制着环路相位校正的速度与精度。适当选择滤波器的参数,可以改善环路的性能。数字环路滤波器的设计原理是建立在模拟环路滤波器的基础上的。模拟的环路滤波器可以采用RC积分滤波器、无源比例积分滤波器或有源比例积分滤波器等。而数字环路滤波器与其相对应,甚至有参数上的对应关系。
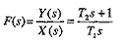
对模拟二阶环路滤波器,其传递函数为:

其中T1, T2为时间常数,决定环路的响应能力。
上式的时域表示为:

对其进行数字处理:

以上即为二阶数字环路滤波器的数学模型推导,上式可用下图来表示:
如图,即可作为实现数字环路滤波器的算法框图和理论依据。在图中两个参数T2/T1 和T/T1的选择是整个设计的关键,它们的取值将直接影响整个环路的跟踪性能。在设计中,要根据扩频系统的具体指标对两个参数进行调整。
现状和发展
在这里 ,我们只给出这种数字延迟锁定环的设计方案,而系统的参数和技术指标以及数字环路滤波器的FPGA具体实现将不予说明。尽管该方案的实现能够具有精度高和便于调试等特点,但是该方案中也存在模拟延迟锁定环中的一些缺点,如两条支路不能精确对称、电路复杂等。但由于伪码速率高使得全数字方案的实现很困难,随着ASIC技术的飞速发展,这一问题将最终获得解决。
如何用QSS快速连接路由器
时间:2026-03-05
通过PIN码破解无线上网密码,怎么用pin连接w...
时间:2026-03-05
近场通信技术及其应用
时间:2026-03-05
mac地址和ip地址是什么决定的
时间:2026-03-05
光纤通信系统中误码性能
时间:2026-03-05
wifi功率和发射功率的区别_怎么将路由器wif...
时间:2026-03-05
无线蓝牙模块CC2540使用心得
时间:2026-03-05
一文看懂载波频率和带宽的关系
时间:2026-03-05
一文看懂采样频率与载波频率区别
时间:2026-03-05
载波通信是什么_载波通信工作原理_载波通信...
时间:2026-03-05
瞬间抑制二极管(TVS)/瞬间抑制二极管(TVS)是...
时间:2026-03-04
什么是霍尔传感器
时间:2026-03-05
半导体材料的主要种类有哪些?
时间:2026-03-04
高级封装,高级封装是什么意思
时间:2026-03-04
数字比较器,数字比较器是什么意思
时间:2026-03-04
常用整流二极管型号大全
时间:2026-03-04
S/HS固态继电器原理简介
时间:2026-03-04
稳压二极管的选用和代换
时间:2026-03-04
TVS器件的电特性有哪些
时间:2026-03-04
TVS二极管的分类/应用,TVS二极管的特点/选用...
时间:2026-03-04