二极管环形混频器,二极管环形混频器原理是什么?

四个二极管组成一个环——环形混频器
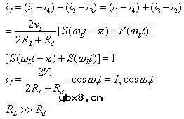
环形混频器本振与信号端口具有良好的隔离,对本振而言,AB点是等电位,信号口无本振输出,对信号而言,CD点是等电位,本振口无信号输出。信号源端口的电流

信号口的输入阻抗
考虑变压器损耗及二极管损耗,L约为6dB一7dB。本振功率是泵,PL大到一定程度,L与PL无关系。
考虑各个端口的失配,混频损耗还会增大,本振口与信号口的隔离只能做到35dB一40dB,特别是本振功率较大,更易串扰到其他端口,必须要善处理。
为什么需要MOSFET栅极电阻?MOSFET栅极电阻...
时间:2026-03-05
NTC/PTC/CTR热敏电阻是什么?热敏电阻的使用...
时间:2026-03-05
解析单电阻采样的原理以及注意点
时间:2026-03-05
共源极放大器的设计方法
时间:2026-03-05
关于STM32WL LSE 添加反馈电阻后无法起振的...
时间:2026-03-05
如何直观地判断两级放大器的零点位置呢?
时间:2026-03-05
时序分析基本概念介绍<wire load model&...
时间:2026-03-05
电子元器件解析—电阻
时间:2026-03-05
3PEAK高压零漂放大器契合精密应用
时间:2026-03-05
助力绿色5G数字式电流和功率监测芯片-TPA62...
时间:2026-03-05
瞬间抑制二极管(TVS)/瞬间抑制二极管(TVS)是...
时间:2026-03-04
什么是霍尔传感器
时间:2026-03-05
半导体材料的主要种类有哪些?
时间:2026-03-04
高级封装,高级封装是什么意思
时间:2026-03-04
数字比较器,数字比较器是什么意思
时间:2026-03-04
常用整流二极管型号大全
时间:2026-03-04
S/HS固态继电器原理简介
时间:2026-03-04
稳压二极管的选用和代换
时间:2026-03-04
TVS器件的电特性有哪些
时间:2026-03-04
TVS二极管的分类/应用,TVS二极管的特点/选用...
时间:2026-03-04