RC桥式振荡器,RC桥式振荡器工作原理是什么?
1.RC串并联网络的频率特性
RC串并联电路如图(a)所示,在信号频率很低时,可等效成图(b)电路。在低频等效电路中,Z1=-jXc1?,Z2=R2。低频时,由于Xc1>>R2,
所以

在信号频率很高时,其等效电路如图6.4(c)所示。在高频等效电路中,Z1=R1,Z2=-jXc2?。高频时,由于R1>>Xc2,所以





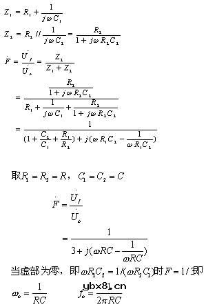
2. RC桥式振荡电路分析
RC桥式振荡电路如下所示。根据自激振荡的条件,φ=φa+Φf=2πn,其中RC串并联网络作为反馈电路,当f=fo时,φf=0°,所以放大器的相移应为φa=0°,即可用一个同相输入的运算放大器组成。又因为当f=fo时,F=1/3,所以放大电路的放大倍数A≥3。起振时A>3,起振后若只依靠晶体管的非线性来稳幅,波形顶部容易失真。为了改善输出波形,通常引入负反馈电路。其振荡频率由RC串并联网络决定,fo=1/(2πRC)。图6.6(b)为RC桥式振荡电路的桥式画法。RC串并联网络及负反馈电路中的Rf、R′1正好构成电桥四臂,这就是桥式振荡器名称的由来。?
多业务广域网解决方案
时间:2026-03-05
无线网络新技术_无线MESH网络是什么
时间:2026-03-05
简单无线mesh网络搭建
时间:2026-03-05
无线mesh网络特点
时间:2026-03-05
无线接入方式有哪些
时间:2026-03-05
无线接入器是什么
时间:2026-03-05
无线中继器安装操作步骤
时间:2026-03-05
无线中继器怎么设置_怎样用中继器增强wifi无...
时间:2026-03-05
tplink无线中继器设置
时间:2026-03-05
无线怎么防止别人蹭网
时间:2026-03-05
瞬间抑制二极管(TVS)/瞬间抑制二极管(TVS)是...
时间:2026-03-04
什么是霍尔传感器
时间:2026-03-05
半导体材料的主要种类有哪些?
时间:2026-03-04
高级封装,高级封装是什么意思
时间:2026-03-04
数字比较器,数字比较器是什么意思
时间:2026-03-04
常用整流二极管型号大全
时间:2026-03-04
S/HS固态继电器原理简介
时间:2026-03-04
稳压二极管的选用和代换
时间:2026-03-04
TVS器件的电特性有哪些
时间:2026-03-04
TVS二极管的分类/应用,TVS二极管的特点/选用...
时间:2026-03-04