群同步,群同步是什么意思
数字通信时,一般总是以一定数目的码元组成一个个的“字”或“句”,即组成一个个的“群”进行传输的。因此,群同步信号的频率很容易由位同步信号经分频而得出。但是,每个群的开头和末尾时刻却无法由分频器的输出决定。群同步的任务就是在位同步信息的基础上,识别出数字信息群(“字”或“句”)的起止时刻,或者说给出每个群的“开头”和“末尾”时刻。
群同步有时也称为帧同步。为了实现群同步,可以在数字信息流中插入一些特殊码字作为每个群的头尾标记,这些特殊的码字应该在信息码元序列中不会出现,或者是偶然可能出现,但不会重复出现,此时只要将这个特殊码字连发几次,收端就能识别出来,接收端根据这些特殊码字的位置就可以实现群同步。本节将主要讲述插入特殊码字实现群同步的方法。
插入特殊码字实现群同步的方法有两种,即连贯式插入法和间隔式插入法。在介绍这两种方法以前,先简单介绍一种在电传机中广泛使用的起止式群同步法。
起止同步法
目前在电传机中广泛使用的同步方法,就是起止式群同步法,下面就以电传机为例,简要地介绍一下这种群同步方法的工作原理。
电传报文的一个字由7.5个码元组成,假设电传报文传送的数字序列为10010,则其码元结构如图1所示。从图中可以看到,在每个字开头,先发一个码元的起脉冲(负值),中间5个码元是信息,字的末尾是1.5码元宽度的止脉冲(正值),收端根据正电平第一次转到负电平这一特殊规律,确定一个字的起始位置,因而就实现了群同步。由于这种同步方式中的止脉冲宽度与码元宽度不一致,就会给同步数字传输带来不便。另外,在这种同步方式中,7.5个码元中只有5个码元用于传递信息,因此编码效率较低。但起止同步的优点是结构简单,易于实现,它特别适合于异步低速数字传输方式。

连贯式插入法
连贯式插入法就是在每群的开头集中插入群同步码字的同步方法。作群同步码字用的特殊码字首先应该具有尖锐单峰特性的局部自相关特性,其次这个特殊码字在信息码元序列中不易出现以便识别,最后群同步识别器需要尽量简单。目前已经找到的最常用的群同步码字,就是“巴克”码。
1.巴克码
巴克码是一种具有特殊规律的二进制码字。它的特殊规律是:若一个n位的巴克码{X1,X2,X3,…Xn},每个码元 只可能取值+1或-1,则它必然满足条件

式(1)中,R(j)称为局部自相关函数。从巴克码计算的局部自相关函数可以看到,它满足作为群同步码字的第一条特性,也就是说巴克码的局部自相关函数具有尖锐单峰特性,从后面的分析同样可以看出,它的识别器结构非常简单。目前人们已找到了多个巴克码字,具体情况如表1所示。表中+表示+1,–表示–1。

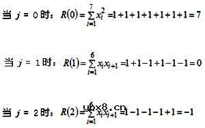
以n = 7的巴克码为例,它的局部自相关函数计算结果如下

同样可以求出j = 3、4、5、6、7,以及j = -1、-2、-3、-4、-5、-6、-7时R(j)的值为

根据式(2)计算出来的这些值,可以作出7位巴克码关于R(j)与j的关系曲线,如图2。由图2可以看出,自相关函数在j=0时具有尖锐的单峰特性。局部自相关函数具有尖锐的单峰特性正是连贯式插入群同步码字的主要要求之一。

2.巴克码识别器
巴克码识别器是比较容易实现的,这里以七位巴克码为例,用7级移位寄存器、相加器和判决器就可以组成一识别器,具体结构如图7-16所示。7级移位寄存器的1、0端输出按照1110010的顺序连接到相加器输入,接法与巴克码的规律一致。当输入数据的“1”存入移位寄存器时,“1”端的输出电平为+1,而“0”端的输出电平为-1;反之,存入数据“0”时,“0”端的输出电平为+1,“1”端的电平为-1。
当发送端送来的码元自右向左进入时,首先考虑一个简单的情况:假设只计算巴克码(1110010)进入的几个移位寄存器的输出,此时将有巴克码进入一位,二位……七位全部进入,第一位移出尚留六位……前六位移出只留一位等13种情况。经过计算可得相加器的输出就是自相关函数,设码元进入移位寄存器数目为a,码元尚留在移位寄存器的数目是b,这是就可以得到a、b和j之间的关系式

根据上述关系可以得到表2,它反映了相加器输出与a、b之间的关系。

实际上述群同步码的前后都是有信息码的,具体情况如图4(a)所示,在这种情况下巴克码识别器的输出波形如图4(b)所示。

当七位巴克码在图4中的t1时刻,正好已全部进入了7级移位寄存器,这时7个移位寄存器输出端都输出+1,相加后得最大输出+7,如图4(b)所示,而判决器输出的两个脉冲之间的数据,称为一群数据或称为一帧数据。
当然,对于信息而言,由于其具有的随机特性,可以考察一种最不利的情况:即当巴克码只有部分码在移位寄存器时,信息码占有的其它移位寄存器的输出全部是+1,在这样一种对于群同步最不利的情况下,相加器的输出将如表3所示。由此可得到相加器的输出波形如图5所示。图中横坐标用a表示,由a、b和j之间的关系可知,a=14-b。

由图5可以看出,如果判决电平选择为6,就可以根据a=7时相加器输出的7,大于判决电平6而判定巴克码全部进入移位寄存器的位置。此时识别器输出一个群同步脉冲,表示群的开头。一般情况下,信息码不会正好都使移位寄存器的输出均为+1,因此实际上更容易判定巴克码全部进入移位寄存器的位置。后面还要讲到如果巴克码中有误码时,只要错一个码,当a=7时相加器输出将由7变为5,低于判决器的判决电平。因此,为了提高群同步的抗干扰性能,防止漏同步,判决电平可以改为4。但改为4以后容易发生假同步,这些问题在性能分析时要进一步讨论。
间歇式插入法
在某些情况下,群同步码字不再是集中插入在信息码流中,而是将它分散地插入,即每隔一定数量的信息码元,插入一个群同步码字。这种群同步码字的插入方式被称为间歇式插入法。
当然集中式插入法和间歇式插入法在实际系统当中都有应用,例如在32路数字电话PCM系统中,实际上只有30路通电话,另外两路中的一路专门作为群同步码传输,而另一路作为其它标志信号用,这就是连贯式插入法的一个应用实例。而在24路PCM系统中,群同步则采用间歇式插入法。在这个系统中,一个抽样值用8位码表示,此时24路电话都抽样一次共有24个抽样值,192(24×8=192)个信息码元。192个信息码元作为一帧,在这一帧插入一个群同步码元,这样一帧共193个码元。24路PCM系统如图7-19所示:
由于间歇式插入法,是将群同步码元分散的插入倒信息流中,因此,群同步码码型选择有一定的要求,其主要原则是:首先要便于收端识别,即要求群同步码具有特定的规律性,这种码型可以是全“1”码、“1”“0”交替码等;其次,要使群同步码的码型尽量和信息码相区别。例如在某些PCM多路数字电话系统中,用全“0”码代表“振铃”,用全“1”码代表“不振铃”,这时,为了使群同步码字与振铃相区别,群同步码就不能使用全“1”或全“0”。
收端要确定群同步码的位置,就必须对接收的码进行搜索检测。一种常用检测方法为逐码移位法,它是一种串行的检测方法;另一种方法是RAM帧码检测法,它是利用RAM构成帧码提取电路的一种并行检测方法。这里将介绍逐码移位法的基本原理和实现同步的过程。

逐码移位法的基本原理就是,由位同步脉冲(位同步码)经过n次分频以后的本地群码(频率是正确的,但相位不确定)与接收到码元中间歇式插入的群同步码进行远码移位比较,使本地群码与发送来的群同步码同步。其原理结构框图如图7:

图7中异或门、延迟一位电路和禁门是专门用来扣除位同步码元以调整本地群码相位的,具体过程可以通过图8看到。
设接收信码(波形c)中的群同步码位于画斜线码元的位置,后面依次安排各路信息码1、2、3(为简单起见,只包含三路信息码)。如果系统已经实现了群同步,则位同步码(波形a)经四次分频后,就可以使得本地群码的相位与收信码中的群同步码的相位一致。现在假设开始时如波形d图所示,本地群码的位置与波形c收信码中的群码位置相差两个码元位。为了易于看出逐码移位法的工作过程,假设群码为全“1”码,其余的信息码均与群码不同,为“0”。在第一码元时间,波形c与d不一致,原理图中的异或门有输出(波形e),经延迟一码元后,得波形f加于禁门,扣掉位同步码的第2个码元(波形b的第2个码元位置用加一叉号表示),这样分频器的状态在第2码元期间没有变化,因而分频器本地群码的输出仍保持和第1码元时相同。这时,它的位置只与收信码中的群码位置相差一位了(见波形d1)。

类似地在第2码元时间,c又和d1进行比较,产生码形e1和f1,又在第3码元位置上扣掉一个位同步码,使本地群码的位置又往后移一位(波形d2)。至此以后,收信码中的群码与本地群码的位置就完全一致了,因而就实现了群同步。同时,也就提供了各路的定时信号。
从图8表示的群同步建立原理来看,如果信息码中所有的码都与群码不同,那么最多只要连续经过N次调整,经过NTb的时间就可以建立同步了。但实际上信息码中“l”、“0”码均会出现,当出现“1”码时,在上面群同步过程的例子中,第1个位同步码对应的时间内信息码为“1”,图7-21中异或门输出


群同步系统的性能指标
对于群同步系统而言,希望其建立的时间要短、建立同步以后应该具有较强的抗干扰能力。因此,在通常情况下,用以下三个性能指标来表示群同步性能的好坏,它们是:(1)漏同步概率P1;(2)假同步概率P2;(3)群同步平均建立时间ts。
不同形式的同步系统,性能自然也不同。在此将主要分析集中插入方式的群同步系统的性能。
1.漏同步概率P1
由于噪声和干扰的影响,会引起群同步码字中一些码元发生错误,从而使识别器漏识别已发出的群同步码字,出现这种情况的概率称为漏识概率,用符号 来表示。以7位巴克码识别器为例,设判决门限为6,此时7位巴克码中只要有一位码发生错误,当7位巴克码全部进入识别器时,相加器输出就由7变5,小于判决门限6,这时就出现了漏同步情况,因此,只有一位码也不错才不会发生漏同步。若在这种情况下,将判决门限电平降为4,识别器就不会漏识别,这时判决器容许7位同步码字中有一个错误码元。
在信息码中也可能出现与所要识别的群同步码字相同的码字,这时识别器会把它误认为群同步码字而出现假同步。出现这种情况的概率就被称为假同步概率,用符号P2表示。
因此,计算假同步概率P2计算信息码元中能被判为同步码字的组合数与所有可能的码字数之比。设二进制信息码中1和0码等概出现,也就是P(1)=P(0)=0.5,则由该二进制码元组成n位码字的所有可能的码字数为2n个,而其中能被判为同步码字的组合数也与m有关,这里m表示判决器容许群同步码字中最大错码数,若m=0时,只有




从式(6)和式(7)可以看到,随着m的增大,也就是随着判决门限电平降低,P1减小,但P2将增大,所以这两项指标是相互矛盾的。所以,判决门限的选取要兼顾漏同步概率和假同步概率。
3.群同步平均建立时间ts
对于连贯式插入的群同步而言,设漏同步和假同步都不发生,也就是P1 = 0和P2 = 0。在最不利的情况下,实现群同步最多需要一群的时间。设每群的码元数为N(其中m位为群同步码),每码元时间为Tb,则一群码的时间为NTb。考虑到出现一次漏同步或一次假同步大致要多花费 的时间才能建立起群同步,故群同步的平均建立时间大致为:

群同步的保护
1.连贯式插入法中的群同步保护
连贯式插入法中的群同步保护电路如图9。在群同步尚末建立时,系统处于捕捉态,状态触发器C的Q端为低电平,群同步码字识别器的判决门限电平较高,因而就减小了假同步概率P2。这时在保护电路中,由于把判决门限电平调高,假同步的概率已很小,故保护电路中的n分频器被置零,禁止位同步n分频后输出。这里的n表示一帧数据的长度,因此,在置零信号无效时,位同步n分频后可以输出一个与群同步同频的信号,但脉冲位置不能保证与群同步脉冲位置相同,而这个脉冲位置也正是需要捕捉态确定的。
从图9可以看到,为了减小假同步的概率,必须连续 次接收的码元与本地群码相一致,才被认为是建立了同步,采用这种方法可使假同步的概率大大减小。
状态触发器C在同步末建立时处于“捕捉态”(此时Q端为低电平)。本地群码和收码只有连续n1次一致时,n1计数电路才输出一个脉冲使状态触发器的Q端由低电平变为高电平,群同步系统就由捕捉态转为维持态,表示同步已经建立。这样收码就可通过与门1加至解调器。偶然的一致是不会使状态触发器改变状态的,因为 次中只要有一次不一致,就会使计数电路置“0”。
同步建立以后,可以利用状态触发器C和n2计数电路,来防止漏同步以提高同步系统的抗干扰能力。一旦转为维持状态以后,触发器C的Q反端变为低电乎,将与门2封闭。这时即使由于某些干扰使e有输出,也不会调整本地群码的相位。如果是真正的失步,e就会不断地将输出加到n2计数电路,同时e的反也不断将 计数电路置“0”。这时n1计数电路也不会再有输出加到n2计数电路的置“0”端上,而当n2计数电路输入脉冲的累计数达到n2时,就输出一个脉冲使状态触发器由维持态转为捕捉态,C触发器的Q反端转为高电平。这样,一方面与门2打开,群同步系统又重新进行逐码移位,另一方面封闭与门1,使解调器暂停工作。由此可以看出,将逐码移位法群同步系统划分为捕捉态和维持态后,既提高了同步系统的可靠性,又增加了系统的抗干扰能力。
qss功能需要开启吗
时间:2026-03-05
mac地址和ip地址有什么区别
时间:2026-03-05
qss功能是什么意思
时间:2026-03-05
mac地址理论知识与配置步骤
时间:2026-03-05
qss样式表学习
时间:2026-03-05
mac地址是什么_mac地址有什么用
时间:2026-03-05
mac地址可以随便改吗
时间:2026-03-05
如何用QSS快速连接路由器
时间:2026-03-05
通过PIN码破解无线上网密码,怎么用pin连接w...
时间:2026-03-05
近场通信技术及其应用
时间:2026-03-05
瞬间抑制二极管(TVS)/瞬间抑制二极管(TVS)是...
时间:2026-03-04
什么是霍尔传感器
时间:2026-03-05
半导体材料的主要种类有哪些?
时间:2026-03-04
高级封装,高级封装是什么意思
时间:2026-03-04
数字比较器,数字比较器是什么意思
时间:2026-03-04
常用整流二极管型号大全
时间:2026-03-04
S/HS固态继电器原理简介
时间:2026-03-04
稳压二极管的选用和代换
时间:2026-03-04
TVS器件的电特性有哪些
时间:2026-03-04
TVS二极管的分类/应用,TVS二极管的特点/选用...
时间:2026-03-04