位同步,位同步是什么意思
在数字通信系统中,发端按照确定的时间顺序,逐个传输数码脉冲序列中的每个码元。而在接收端必须有准确的抽样判决时刻才能正确判决所发送的码元,因此,接收端必须提供一个确定抽样判决时刻的定时脉冲序列。这个定时脉冲序列的重复频率必须与发送的数码脉冲序列一致,同时在最佳判决时刻(或称为最佳相位时刻)对接收码元进行抽样判决。可以把在接收端产生这样的定时脉冲序列称为码元同步,或称位同步。
实现位同步的方法和载波同步类似,也有直接法(自同步法)和插入导频法(外同步法)两种,而在直接法中也分为滤波法和锁相法。
1、插入导频法
为了得到码元同步的定时信号,首先要确定接收到的信息数据流中是否包含有位定时的频率分量。如果存在此分量,就可以利用滤波器从信息数据流中把位定时信息提取出来。
若基带信号为随机的二进制不归零码序列,这种信号本身不包含位同步信号,为了获得位同步信号需在基带信号中插入位同步的导频信号,或者对该基带信号进行某种码型变换以得到位同步信息。
与载波同步时的插入导频法类似,它也是在基带信号频谱的零点插入所需的导频信号,如图1(a)所示。若经某种相关编码处理后的基带信号,其频谱的第一个零点在



图1 插入导频法频谱图
在接收端,对图1(a)所示的情况,经中心频率为


在图2(a)中基带信号经相关编码器处理,使其信号频谱在






图2 位同步插入导频法方框图
插入导频法的另一种形式是使数字信号的包络按位同步信号的某种波形变化。例如PSK信号和FSK信号都是包络不变的等幅波,因此,可将位导频信号调制在它们的包络上,而接收端只要用普通的包络检波器就可恢复位同步信号。
当然,事实上,同步信号也可以在时域内插入,这时载波同步信号、位同步信号和数据信号等信息分别被配置在不同的时间段内传送。接收端用锁相环路提取出同步信号并保持它,就可以对继之而来的数据信息进行解调。
当系统的位同步采用自同步方法时,发端不专门发送导频信号,而直接从数字信号中提取位同步信号,这种方法在数字通信中经常采用,而自同步法具体又可分为滤波法和锁相法。
根据基带信号的谱分析可以知道,对于不归零的随机二进制序列,不能直接从其中滤出位同步信号。但是,若对该信号进行某种变换,例如,变成单极性归零脉冲后,则该序列中就有



图3滤波法原理框图
图3中的波形变换,在实际应用中由微分、整流电路构成,经微分、整流后的基带信号波形如图4所示。图4(c)为单极性归零信号,它包含有位同步信号分量,可以通过滤波器进行提取。
另一种常用的波形变换方法是对带限信号进行包络检波。在某些数字微波中继通信系统中,经常在中频上用对频带受限的2PSK信号进行包络检波,用这种方法来提取位同步信号。由于频带受限,在相邻码元的相位变换点附近会产生幅度的平滑“陷落”。经包络检波后,可以得到位同步信号。
2、采用锁相法提取位同步
与载波同步的提取类似,把采用锁相环来提取位同步信号的方法称为锁相法。在数字通信中,这种锁相电路常采用数字锁相环来实现。
采用锁相法提取位同步原理方框图如图5所示,它由高稳定度振荡器(晶振)、分频器、相位比较器和控制电路组成。其中,控制电路包括图中的扣除门、附加门和“或门”。高稳定度振荡器产生的信号经整形电路变成周期性脉冲,然后经控制器再送入分频器,输出位同步脉冲序列。输入相位基准与由高稳定振荡器产生的经过整形的n次分频后的相位脉冲进行比较,由两者相位的超前或滞后,来确定扣除或附加一个脉冲,以调整位同步脉冲的相位。

图4基带信号的微分整流波形

图7-5利用数字锁相环提取位同步信息
3、位同步系统的性能指标
位同步系统的性能指标除了效率以外,主要有以下几个:(1)相位误差(精度),(2)同步建立时间,(3)同步保持时间,(4)同步带宽。下面将对数字锁相法位同步系统的性能指标进行分析。
1.相位误差

利用数字锁相法提取位同步信号时,相位比较器比较出误差以后,立即加以调整,在一个码元周期


从上式可以看到,随着n的增加,相位误差θe将减小。
2.同步建立时间

同步建立时间即为失去同步后重建同步最所需的长时间。为了求得这个可能出现的最长时间,令位同步脉冲的相位与输入信号码元的相位相差为



由于数字信息是一个随机的脉冲序列,可近似认为两相邻码元中出现01、10、11、00的概率相等,其中有过零点的情况占一半。而数字锁相法都是从数据过零点中提取标准脉冲的,因此平均来说,每2Tb秒可调整一次相位,故同步建立时间为

为了使同步建立时间ts减小,要求选用较小的n,这就和相位误差对n的要求相矛盾。
3.同步保持时间

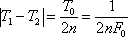
同步建立后,一旦输入信号中断,或者遇到长连0码、长连1码时,由于接收的码元没有过零脉冲,锁相系统就因为没有输入相位基准而不起作用,另外收发双方的固有位定时重复频率之间总存在频差

设收发两端固有的码元周期分别为



式中的F0为收发两端固有码元重复频率的几何平均值,且有


式(5)说明,当收发两端存在频差





设收发两端的频率稳定度相同,每个振荡器的频率误差均为


式(7)说明,要想延长同步保持时间

4.同步带宽Δf
如果输入信号码元的重复频率和收端固有位定时脉冲的重复频率不相等时,每经过






则锁相环将无法使收端位同步脉冲的相位与输入信号的相位同步,这时由频差所造成的相位差就会逐渐积累。这样就可以得到


结合式(4)和式(9)可以得到

式(10)就是求得的同步带宽表示式,要增加同步带宽,需要减小n。
无线中继器安装操作步骤
时间:2026-03-05
无线中继器怎么设置_怎样用中继器增强wifi无...
时间:2026-03-05
tplink无线中继器设置
时间:2026-03-05
无线怎么防止别人蹭网
时间:2026-03-05
无线怎么隐藏wifi信号
时间:2026-03-05
mac地址在哪里找
时间:2026-03-05
qss功能需要开启吗
时间:2026-03-05
mac地址和ip地址有什么区别
时间:2026-03-05
qss功能是什么意思
时间:2026-03-05
mac地址理论知识与配置步骤
时间:2026-03-05
瞬间抑制二极管(TVS)/瞬间抑制二极管(TVS)是...
时间:2026-03-04
什么是霍尔传感器
时间:2026-03-05
半导体材料的主要种类有哪些?
时间:2026-03-04
高级封装,高级封装是什么意思
时间:2026-03-04
数字比较器,数字比较器是什么意思
时间:2026-03-04
常用整流二极管型号大全
时间:2026-03-04
S/HS固态继电器原理简介
时间:2026-03-04
稳压二极管的选用和代换
时间:2026-03-04
TVS器件的电特性有哪些
时间:2026-03-04
TVS二极管的分类/应用,TVS二极管的特点/选用...
时间:2026-03-04