电力 三相不平衡 作图法 对称分量法
1:三相不平衡的的电压(或电流),可以分解为平衡的正序、负序和零序
2:零序为3相电压向量相加,除以3
3:正序将BC相旋转120度到A相位置,这样3个向量相加会较长,3个向量相加,除以3
4:负序将BC相旋转120度到A相相反位置,这样3个向量相加会较短,3个向量相加,除以3
个人为理解三相不平衡做的总结。总没有理解三相不平衡,因为我没有上过电力系统的课程,实际上课本上有,所以百度上很少。有很多东西,网上没有的原因是因为实际很简单,专家们都不好意思写。
对称分量法参考借用了东南大学电器工程学院的PPT的图片。作图法用CAD的平移很方便,求3分点位置还网上查了下。
1:不过我仍没有了解三相不平衡的各种保护方法。零序保护倒是理解,用开口三角即可。负序保护难道采样后用算,那一个周波都过了,保护时间是否足够。
2:similink是否可以仿真故障并做相序分析
3:可以方便的实现matlab编程,将不平衡的三相精确地分解为正序、负序与零序(曾经有简单估算方法)。计算程序需要输入每相的幅值与相角。 不平衡保护设备现场计算需要采集幅值与相角作为输入参数吗?这个问题肯定很简单,但我没查到文章介绍实现方法。
4:暂态过程的不平衡一致吗
5:希望理解或仿真电力系统故障导致的不平衡,并以此判定系统故障,本次仍没能实现,希望下次再突击阅读理解。
一:理解
1 相序
在三相电力系统中,各相电压或电流依其先后顺序分别达到最大值(以正半波幅值为准)的次序,称为相序。
正相序:分别达到最大值的次序为A、B、C;
负相序:分别达到最大值的次序为A、C、B。

2不对称运行状态的主要原因
(1)外施电压不对称,三相电流也不对称。
(2)各相负载阻抗不对称。当初级外施电压对称,三相电流不对称。不对称的三相电流流经变压器,导致各相阻抗压降不相等,从而次级电压也不对称。
(3)外施电压和负载阻抗均不对称。
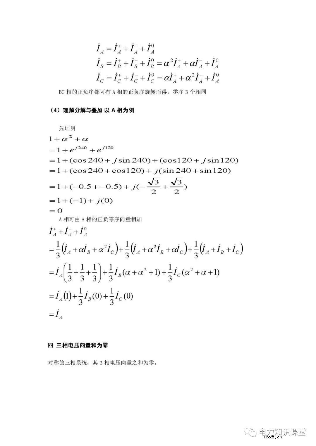
3对称分量法
对称分量法是分析三相不对称运行的基本方法。任意一组三相不对称的物理量(电压、电流等)均可分解成三组同频率的对称的物理量。
以电流为例,说明如下:










编辑:黄飞
相关热词:#智能电网
配电箱的常见故障和维修方法
时间:2026-03-05
单脉冲发生器
时间:2026-03-05
微电网和输电网的区别
时间:2026-03-05
低压配电柜出线回路和出线开关的选择
时间:2026-03-05
低压配电柜出线要求和安装规范
时间:2026-03-05
智能电网的基础知识
时间:2026-03-05
毫微秒脉冲发生器
时间:2026-03-05
具有抑制噪声能力的选通脉冲发生器
时间:2026-03-05
可开关的单脉冲、连续脉冲发生器
时间:2026-03-05
脉冲宽度和频率可调的脉冲发生器
时间:2026-03-05
什么是单母线接线?主接线的普遍规律
时间:2026-03-05
未来什么技术占主流?会是区块链吗?
时间:2026-03-05
浅谈区块链下的智能合约
时间:2026-03-05
浅显易懂地揭开.Net生态系统的神秘面纱!
时间:2026-03-05
对技术的执着和美的追求变成了程序员的“诗...
时间:2026-03-05
什么是区块链技术_区块链技术解析
时间:2026-03-05
配电箱的常见故障和维修方法
时间:2026-03-05
微电网和输电网的区别
时间:2026-03-05
低压配电柜出线回路和出线开关的选择
时间:2026-03-05
低压配电柜出线要求和安装规范
时间:2026-03-05