TDK双电层电容器的原理、特点及种类
时间:2026-03-05
三种接地刀闸操作方法 为什么要进行接地刀闸...
时间:2026-03-05
电源线路用共模滤波器的特点
时间:2026-03-05
钽电容使用中的压降问题
时间:2026-03-05
滤波电容上的无功应该控制在多少
时间:2026-03-05
低压补偿电容器对用电企业及用户的好处
时间:2026-03-05
如何搭载一个负载开关电路load switch?
时间:2026-03-05
太阳诱电高可靠性元件:电容器
时间:2026-03-05
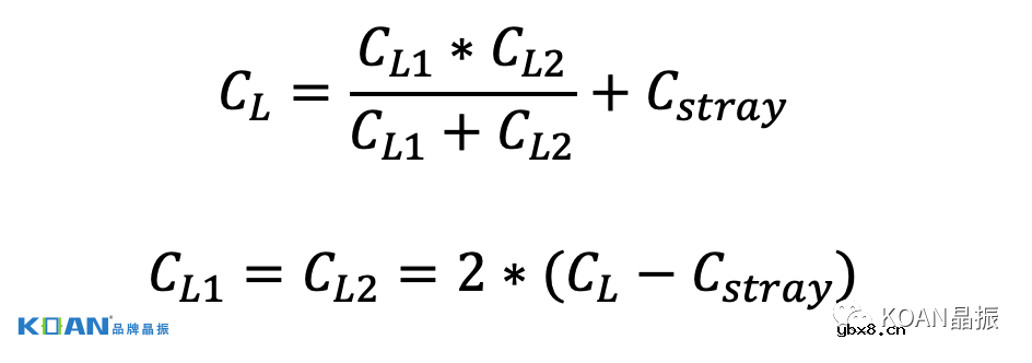
晶振pF是什么?怎样去匹配电容呢?
时间:2026-03-05
保护装置如何配置 保护装置原理图
时间:2026-03-05
彩灯电路
时间:2026-03-05
三相异步电动机原理
时间:2026-03-04
转角测量电路
时间:2026-03-05
经典的正弦波发生电路
时间:2026-03-05
电度表的工作原理
时间:2026-03-04
电动机单线远程正反转控制电路图
时间:2026-03-04
三相异步电动机的拆装详讲
时间:2026-03-04
三相异步电动机的七种调速方式
时间:2026-03-04
USB转232电路图
时间:2026-03-04
石英晶体钟脉冲发生器
时间:2026-03-05