电工问答2026-03-05
硒鼓的颜色/硒鼓的适用产品类型/硒鼓的适用机型 颜色 颜色是指硒鼓中的墨粉是什么颜色的,也就是它能够实现何种色彩的打印任务,目前常见的自然是黑色的。不过如果是彩色激光打印机和复印机
输入电容和负载电容引起的放大器振荡问题
时间:2026-03-05
超级电容的原理特性 超级电容类型及特点 超...
时间:2026-03-05
电容较小的电容器为什么可以让高频交变电流...
时间:2026-03-05
10kV配电室核心设备功能、作用与重要性
时间:2026-03-05
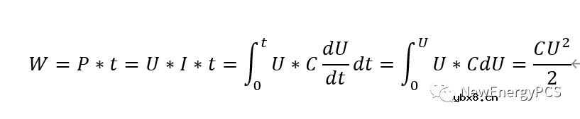
储能电容选型的计算方法
时间:2026-03-05
储能电容的作用和用途 滤波电容和储能电容的...
时间:2026-03-05
如何测试和检查电容?电容是好是坏?短路还...
时间:2026-03-05
超级电容与传统电源有什么区别?双电层电容...
时间:2026-03-05
电感值如何选取?输入输出电容如何选取?
时间:2026-03-05
怎么知道电容的SFR是多少?如何选取不同SFR...
时间:2026-03-05
瞬间抑制二极管(TVS)/瞬间抑制二极管(TVS)是...
时间:2026-03-04
什么是霍尔传感器
时间:2026-03-05
半导体材料的主要种类有哪些?
时间:2026-03-04
高级封装,高级封装是什么意思
时间:2026-03-04
数字比较器,数字比较器是什么意思
时间:2026-03-04
常用整流二极管型号大全
时间:2026-03-04
S/HS固态继电器原理简介
时间:2026-03-04
稳压二极管的选用和代换
时间:2026-03-04
TVS器件的电特性有哪些
时间:2026-03-04
TVS二极管的分类/应用,TVS二极管的特点/选用...
时间:2026-03-04