以下是之前回复的问题,其实也就是来自这篇文章:
如果将一阶RC积分电路的充电时间常数与放电世界常数设计的不一样输出电压是什么波形?输入为方波
RC 电路能够根据施加到其输入端的信号波形的类型和频率(周期)产生不同形状的 RC 波形输出。
在之前的 RC 充电和放电教程中,我们了解了电容器如何通过串联电阻进行自我充电和放电。当施加或移除恒定直流电压时,此电容器完全充电或完全放电所花费的时间等于五个 RC 时间常数或 5T。
但是,如果我们将此恒定直流电源更改为脉冲波形或 方波波形 (可以用各种仿真软件先看看),并以由其时间周期或频率确定的速率不断从最大值变为最小值,将会发生什么情况。这将如何影响给定 RC 时间常数值的 RC 波形形状?
我们之前看到,电容器在施加电压时充电至5T ,在移除电压时放电至5T 。在 RC 充电和放电电路中,这个5T时间常数值始终保持为真,因为它由电阻 - 电容器 (RC) 组合固定。那么电容器完全充电或放电所需的实际时间只能通过改变电容器本身或电路中电阻器的值来改变,如下所示。

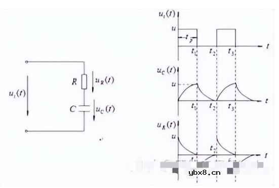
使用具有所需时间常数的 RC 电路可以获得有用的波形。如果我们将连续方波电压波形应用于RC电路,其脉冲宽度与电路的5RC时间常数 ( 5T)完全匹配 ,则电容器两端的电压波形将产生如下所示的 RC 波形:


这种情况输入时长是要必须低于5τ。

通过改变RC时间常数或输入波形的频率,我们可以改变电容器两端的电压,从而产生Vc和时间t之间的关系。这种关系可用于改变各种波形的形状,使电容器两端的输出波形几乎与输入波形相似。
其实这个时候就可以思考一下RC电路的作用,以及你在设计中想要什么样的波形,会和你设置的RC数值有关 。

上面这个图其实就包含了RC电路积分和微分的使用方法。
如果在电容上取分压就是积分电路,在电阻上分压就是微分电路。
积分器是一种低通滤波器电路,可将方波输入信号转换为三角波输出。如上所示,如果5RC时间常数比输入 RC 波形的时间周期长,则结果输出将呈三角形,输入频率越高,输出幅度与输入幅度相比越低。

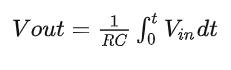
上述电路的Vout





通常,响应下降 3dB(截止频率,ƒC)的点用于定义滤波器带宽,3dB 的损失对应于输出电压降低至原始值的70.7 %。
构网型变流器电力电子装备控制典型应用
时间:2026-03-05
含构/跟网型逆变器的电力系统稳定性
时间:2026-03-05
变电一次接线图:变电站主接线和站用电接线...
时间:2026-03-05
全面详解保护接地、接零、漏保
时间:2026-03-05
10kV配电室核心设备功能、作用与重要性
时间:2026-03-05
一文详解变压器结构、试验
时间:2026-03-05
数据中心市电引入过程及常见方式
时间:2026-03-05
10KV开关柜控制和保护动作原理图
时间:2026-03-05
电气二次设计:继电保护及安全自动装置
时间:2026-03-05
电线电缆的结构、分类、工艺流程
时间:2026-03-05
玻璃釉电容器的结构与特点
时间:2026-03-05
表贴电容的分类
时间:2026-03-05
关于STM32WL LSE 添加反馈电阻后无法起振的...
时间:2026-03-05
RI-80F型高压高阻玻璃釉膜电阻分压器
时间:2026-03-05
电阻的标称阻值和允许偏差
时间:2026-03-05
高压电容怎么测好坏_如何提高高压电容寿命
时间:2026-03-05
电容屏也有区别?自电容屏和互电容屏有什么...
时间:2026-03-05
一文读懂,电容器的工作旅程
时间:2026-03-05
如何绕制电感与选择磁芯减小寄生电容
时间:2026-03-05
浅谈高压贴片电容分类与性能参数
时间:2026-03-05