介电常数是描述某种材料放入电容器中增加电容器存储电荷能力的物理量。是相对介电常数与真空中绝对介电常数乘积。如果有高介电常数的材料放在电场中,电场的强度会在电介质内有可观的下降。理想导体的相对介电常数为无穷大。根据物质的介电常数可以判别高分子材料的极性大小。
通常,相对介电常数大于3.6的物质为极性物质;相对介电常数在2.8~3.6范围内的物质为弱极性物质;相对介电常数小于2.8为非极性物质;我们生产的高频高速线的参数控制重点在生产过程工艺中的细节,绝缘介质系数与高频的关系影响也更为密切.

一些常见物质的介电系数:

一些常见物质的导磁系数:

介电常数(Dielectric Constant): 介电常数定义为电力线密度与电场强度的比值,在dielectric material(一般用的塑胶)中,介电常数越小,电容的效应越小,电磁波通过的速率越快,目前测量介电常数的方法主要有集中电路法、传输线法、谐振法、自由空间波法等等,其中,传输线法、集中电路法、谐振法等属于实验室测量方法,测量通常是在实验室中进行,要求具有相应的样品采集技术,另外对于已知介电常数材料发泡后的介电常数通常用经验公式得到,量测的方法如下:


导电系数( conductivity)
物质导电的能力,导电系数越大,电阻越小,相当于机械方面的IACS係数.

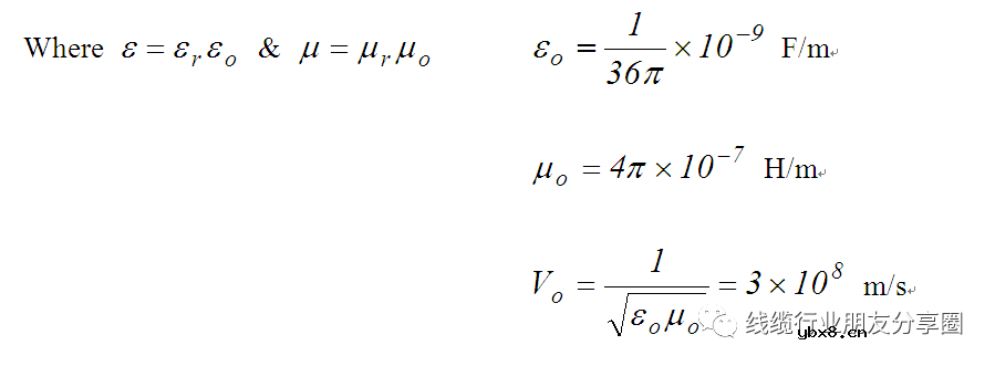
Velocity:电磁波在介质内的传输速度取决于介质的介电系数(permittivity),及导磁系数(permeability),如下式:
在真空中:


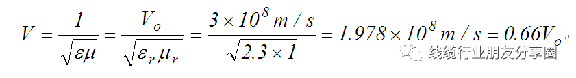
可见电磁波在真空中是以光速在前进,假如电磁波在介质中传播,我们必需知道介质的相对介电系数及相对导磁系数,以推算电磁波在介质内的传递速度,举例而言,电磁波在SCSI Cable 内的传递速度为:(选用发泡PE绝缘材料,介质系数 2.3,铜导体的导磁系数 1)

介电系数的意义及其影响因素是什么
我们知道,一个平板电容器的电容量C与平板电极的面积S成正比,而与平板电极间的距离D成反比,其比例常数决定于介质的特性,即:

绝缘介质相对介电系数的大小有以下几个影响因素:
(1)电场频率。电介质在电场中各种极化的形成都需要有一定的时间,当电场频率很高时,某些需要时间长的极化过程就可能跟不上电场的变化,因此,相对介电系数随频率的增高而趋于下降。
(2)温度。电介质的电子、原子极化不受温度影响,但偶极子极化强度在很大的温度范围内与温度成反比。故有温度升高、材料的密度变小相对介电系数降低;但当温度很低、分子运动被(部分)冻结时,相对介电系数也开始升高。例如: 0C水的相对介电系数为88.0,而100C水的相对介电系数仅为55. 3。
(3)其他。由于水的相对介电系数很大(常温),所以吸湿后的电介质,其相对介电系数也增大。另外,大气压力对气体电介质的相对介电系数影响很大,压力增大时,密度增大相对介电系数也增大。除此之外,分子量、结晶度、交联度等因素的影响,主要表现在相对复介电系数的变化上。
综合以上:
在低频时,介质的导电率低,故其流经的电流很小,然而,在高频时,介质内会被导入电流而有损耗,低频看导体,高频看绝缘,就是这样来分析而来的语句,在部分用在基站,有多种设备间的相互干扰的时候,介质的影响也是存在的,由于导体对导体会形成多种磁场,电磁场散逸在空气中或介质而会损失能量,也就是EMI中的辐射干扰(另一种是经由电流影响其他装置的传导干扰),这能量若耦合到其它装置就造成干扰,若辐射损耗要小,则屏蔽效果要做好,在部分测试屏蔽阻抗的要求的线材时候,会更多考虑绝缘介质的影响.现今介电常数的影响也更多的让研发重视,其对应的测量技术现在正在不断进步和日益完善,不同的工程要求和实验环境要有具体的选择物料的方法,不可以照葫芦画瓢,生搬硬套,可以DOE阶段进行多种验证。
审核编辑:刘清
SCSI接口-Ultra320SCSI
时间:2026-03-05
SCSI接口-连接器类型
时间:2026-03-05
SCSI接口-总线终结器
时间:2026-03-05
SCSI接口-对比
时间:2026-03-05
SCSI接口-技术发展
时间:2026-03-05
显卡工作原理是什么?
时间:2026-03-05
CD-ROM安装方式
时间:2026-03-05
CD-ROM接口类型
时间:2026-03-05
CD-ROM最大读取速度
时间:2026-03-05
CD-ROM 可支持的盘片标准
时间:2026-03-05
玻璃釉电容器的结构与特点
时间:2026-03-05
表贴电容的分类
时间:2026-03-05
关于STM32WL LSE 添加反馈电阻后无法起振的...
时间:2026-03-05
RI-80F型高压高阻玻璃釉膜电阻分压器
时间:2026-03-05
电阻的标称阻值和允许偏差
时间:2026-03-05
电容在交流电路中是怎样工作的?
时间:2026-03-05
高压电容怎么测好坏_如何提高高压电容寿命
时间:2026-03-05
电容屏也有区别?自电容屏和互电容屏有什么...
时间:2026-03-05
一文读懂,电容器的工作旅程
时间:2026-03-05
如何绕制电感与选择磁芯减小寄生电容
时间:2026-03-05