5.1
物理设计转化为电气性能
所有互连和无源元件的电气描述都基于3种理想的集总电路元件(电阻器、电容器和电感器)和一个分布元件(传输线)。互连的电气特性是由导体和介质的精确版图,以及与信号电场和磁场的相互作用情况确定的。
理解几何结构与电气特性的关系,就能领悟互连的物理设计如何影响信号,同时在设计中能够凭借直觉解决信号完整性问题。

考察互连电气性能的最简单的出发点就是它的等效电路模型。所有模型都由两部分组成:电路拓扑结构和各个电路元件的参数值。任何互连建模的最简单出发点就是使用3种理想集总电路元件(电阻器、电容器和电感器)和分布元件(理想传输线电路元件)的一些组合。
建模就是将物理设计中线的长、宽、厚和材料特性转化为R, L和C的电气描述形式。
建立了互连电路模型的拓扑结构后,下一步就是提取参数值,这个过程有时称为寄生参数提取,或寄生提取。寄生提取就是设法把几何结构和材料特性转化成理想元件R, L, C和T的等效参数值。
本章我们讨论如何根据几何结构和材料特性确定电阻。
5.2
互连电阻的模型
一旦把电路的拓扑结构建为理想电阻器元件,就可以针对互连的特定几何结构计算参数值。
对于互连电阻,可以给出一个良好的解析近似式,但是这种近似只适用于均匀横截面的导线。整条导线上的直径或线宽都是相同的,如键合线、引线和电路板上的走线线条。
对于导线横截面恒定的情况,电阻值可以由下式近似得出:

其中,R表示电阻值(单位为Ω),ρ表示导线的体电阻率(单位为Ω·cm),Len表示互连两端的距离(单位为cm),A表示横截面积(单位为cm^2)。
这种解析近似说明电阻值将随导线长度的增加而线性增加,若将互连的长度加倍,则电阻值也加倍;同时它又与导线的横截面积成反比,即如果横截面增大,电阻值就会减小。这与我们所知道的水在管道中流动的现象相同,管道越宽,水流的阻力就越小;管道越长,阻力就越大。
等效理想电阻器的参数值与几何结构的尺寸和材料特性(即体电阻率)有关。如果改变导线的形状,那么等效的电阻值也会改变。
经验法则:直径为1 mil且长为80 mil的键合线的电阻值约为0.1 Ω。
5.3
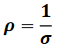
体电阻率
体电阻率是所有导线都具有的一个基本材料特性,它不是由材料构成的物体的结构特性,是对材料阻止电流流动的内在阻力的度量。它与我们所看到的材料尺寸无关,边长为1 mil的铜与边长为1 in的铜有相同的体电阻率。
导线越差,电阻率越高。另一个术语“电导率”描述材料的导电能力,材料的导电能力越强,电导率就越高。从数值上看,体电阻率和电导率互为倒数:

体电阻率ρ的单位是Ω·m,而电导率σ的单位是1/(Ω·m),即西门子/m。
5.4
单位长度电阻
若导线的横截面是均匀的,例如引线或电路板上的线条,则互连电阻与长度成正比。对于横截面均匀的导线,其单位长度电阻也是恒定的,即:

其中,R_L表示单位长度电阻,Len表示互连长度,ρ表示体电阻率,A表示电流流过的横截面积。
在许多个人计算机的机箱中,常见的是表示为22AWG的铜导线,其直径为25 mil,单位长度电阻 R_L=1.2×10^−3Ω/in。
5.5
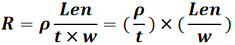
方块电阻

我们常见的PCB,导电片层的厚度一般是均匀的,这样,每一层上的所有导线都有相同的厚度。对于这种线条厚度相同的特殊情况,线条的电阻如下:

第一项(ρ/t),对于该层上厚度为t的所有线条而言是个常数。在同一层上的所有线条都有相同的体电阻率和相同的厚度,所以这一项称为同一层的方块电阻值,并用R_sq表示。
第二项(Len/w)是具体线条长与宽的比值。这是线条上所能划分的方块数,用n来表示, 是个无量纲的数。所以矩形线条的电阻可写为:R = R_sq × n。
有趣的是,方块电阻的单位刚好是Ω。即与电阻的单位相同,但是方块电阻到底指的是什么呢?理解方块电阻的最简单方法是认为它是一个正方形导体片两端之间的电阻值。无论正方形边长是10 mil还是10 in,其相对两端之间的电阻恒定不变。
方块电阻与导体的体电阻率和导体层的厚度有关。常见的多层铜导体印制电路板中,铜的厚度用每平方英尺的铜重量加以描述。所以1盎司铜表示的是电路板铜层每平方英尺的铜重量为1盎司。1盎司铜的厚度约为1.4 mil或35um。基于铜的厚度和体电阻率,1盎司铜的方块电阻R_sq=0. 5 mΩ/sq。
如果知道导体层的方块电阻,就能计算出单位长度电阻和该导体层中所有导线的电阻。所以线条的单位长度电阻用下式计算:

其中,R_L表示单位长度电阻,R表示线条电阻,R_sq表示方块电阻,w表示线条宽度,Len表示线条长度。
但是这些阻值计算的都是在直流时或者是低频情况下的电阻,因为由于趋肤效应的影响,线条的阻值将随着频率的升高而加大。虽然铜的体电阻率不变,但导线上的电流分布却发生了变化。高频信号分量在贴近表面的很薄的层上传播,从而使有效横截面积减小。
连续脉冲发生器电路图
时间:2026-03-05
正弦波发生器原理图
时间:2026-03-05
话筒用单音猝发电路
时间:2026-03-05
静噪电路图
时间:2026-03-05
开路转播机的引入控制电路
时间:2026-03-05
控制单音发生器电路
时间:2026-03-05
六路单管电路图
时间:2026-03-05
选取单音波群电路
时间:2026-03-05
选取单音发生器电路
时间:2026-03-05
亚声频单音编码器电路
时间:2026-03-05
关于STM32WL LSE 添加反馈电阻后无法起振的...
时间:2026-03-05
电阻的标称阻值和允许偏差
时间:2026-03-05
合金电阻与贴片电阻有什么区别?你知道合金...
时间:2026-03-05
3PEAK高压零漂放大器契合精密应用
时间:2026-03-05
零欧电阻的功能
时间:2026-03-05
PPTC热敏电阻在电池中的应用
时间:2026-03-05
水泥电阻规格及型号
时间:2026-03-05
气敏电阻的型号命名方法是怎样的
时间:2026-03-05
国巨片式电阻缺货涨价之应对方案 你要知道电...
时间:2026-03-05
RI-80F型高压高阻玻璃釉膜电阻分压器
时间:2026-03-05